概念:由两种不同材料结合或不同工序结合而成的梁称为组合梁,亦称联合梁。

今天咱们从《钢标》第十四章来认识组合梁,本文只适合不直接承受动力荷载的组合梁结构设计。
(一)基本规定
直接拿图说话,组合梁分为设置板托的组合梁及不设板托的组合梁,如下图所示,对于两者在计算中的区别在于混凝土翼板的有效宽度be(可以类比《混规》中楼板对混凝土梁的约束作用)取值不一样,值得注意的是,在组合梁的强度、挠度和裂缝计算中,可不考虑板托的作用。


在14.1.6条中规定了采用塑性方法设计的条件,
若钢梁受压区的板件宽厚比满足《钢标》10.1.5条的要求,则可以直接采用塑性设计;若不满足,则连接件需要满足下列布置间距要求:


(二)组合梁设计
这里由于设置了抗剪连接件,区分完全抗剪连接设计和部分抗剪连接设计,两者的区别就是连接件的数量不同,但是部分抗剪连接的组合梁的连接件实配不得少于完全抗剪设计的一半。两者都又可以区分为正弯矩区段(上部可不设置受压钢筋)和负弯矩区段(上部需设置受拉钢筋)设计,如下图所示,M+为正弯矩区段,M-为负弯矩区段,和混凝土梁一样,正弯矩区为下部受拉,负弯矩为上部受拉,它的设计思想可以类比混凝土梁的受弯承载力设计,列出两个平衡方程,一个为截面受拉和受压区的力平衡方程,一个为对合力点进行求距等到力矩平衡方程,然后进行解方程计算。

完全抗剪连接组合梁
在正弯矩区段设计时,还需要注意截面的中和轴位置,若中和轴在混凝土翼板内,则钢梁完全受拉;若中和轴在钢梁内,则需要把钢梁分为受压区和受拉区,此时混凝土完全受压,类似混凝土梁的双筋截面设计计算,但是这里需要分别求出受压区及受拉区钢梁的形心轴,才能确定力的作用点,从而列出力矩方程。


部分抗剪连接组合梁
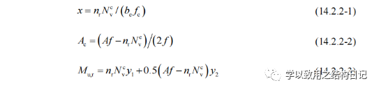
在正弯矩区段设计时,这里可以理解为混凝土未完全受压,连接件达到了受剪承载力,同时下部钢梁此时参与了受压(中和轴在钢梁内),先验算的是抗剪连接件和下部钢梁的力,然后才是连接件和混凝土的平衡方程,分为两部分计算,公式如下:第一个方程是连接件和混凝土的受力平衡方程,第二个方程是抗剪连接件和下部钢梁的连接方程,第三个方程是对下部钢梁受拉区段的形心轴求矩的力矩平衡方程。这里需要注意的是nr表示最大弯矩验算截面到最近弯矩为零点之间的抗剪连接件的数目。也就是说在一跨均布荷载的简支梁内,有两个剪跨区,抗剪连接件的数目为2nr。关于每个剪跨区段的抗剪件数目可以根据《钢标》14.3.4条求解。


其实组合梁没那么陌生,组合梁的设计就是类比混凝土梁设计,不同的是钢筋换成了钢材,但是设计思想还是一致的。
内容源于网络,如有侵权,请联系删除
相关资料推荐:
知识点:组合梁结构
0人已收藏
0人已打赏
免费3人已点赞
分享
混凝土结构
返回版块140.17 万条内容 · 2217 人订阅
阅读下一篇
梁截面形状的合理选择在设计梁时,一方面要使梁具有足够的强度,以保证梁能够安全正常地工作;另一方面又要使梁的材料充分发挥其作用,以便节省材料,尽可能提高梁的弯曲强度。在梁的材料、承受的荷载和梁的支承条件都已确定的情况下,选择梁截面的合理形状,能有效地提高梁的强度。 由梁的弯曲正应力强度条件可知,在弯矩一定的条件下,梁的应力与抗弯截面模量成反比。即截面模量越大,梁的承载能力就越高。因此,梁的合理截面应是在截面面积相同的条件下,具有较大抗弯截面模量的截面形式。一般来说,抗弯截面模量与截面高度
回帖成功
经验值 +10
全部回复(0 )
只看楼主 我来说两句抢沙发