在设计梁时,一方面要使梁具有足够的强度,以保证梁能够安全正常地工作;另一方面又要使梁的材料充分发挥其作用,以便节省材料,尽可能提高梁的弯曲强度。在梁的材料、承受的荷载和梁的支承条件都已确定的情况下,选择梁截面的合理形状,能有效地提高梁的强度。
由梁的弯曲正应力强度条件可知,在弯矩一定的条件下,梁的应力与抗弯截面模量成反比。即截面模量越大,梁的承载能力就越高。因此,梁的合理截面应是在截面面积相同的条件下,具有较大抗弯截面模量的截面形式。一般来说,抗弯截面模量与截面高度h的平方成正比(通常梁为矩形)。所以,合理的截面形式应该使截面Wz/A的尽可能增大,使截面面积尽可能分布在距中性轴较远处。同时,从梁横截面上的正应力分布规律来看,梁横截面上距中性轴最远处,各点正应力分别为最大拉应力或最大压应力。由此可见,为了充分发挥材料的潜力,就应使截面上最大拉应力和最大压应力,同时达到材料相应的容许应力。
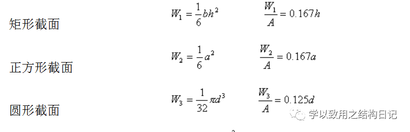
现在以比较各种截面形状Wz/A值的大小来衡量工程中几种常见截面的合理程度。
设梁的截面分别为矩形截面、正方形截面和圆形截面,三种截面的面积相同,都为A,矩形截面的宽为b、高为h;正方形截面的边长为a;圆截面的直径为d。三种截面的Wz值和Wz/A值分别为:


从上述分析比较可知,矩形截面优于正方形截面,正方形截面优于圆形截面。

如图1所示,对于虚线表示的矩形截面,如果把中性轴附近的材料“挖”出,移至上、下边缘处,形成工字形截面。这就使正应力大的区域材料用量多,正应力小的区域材料用量少,使材料的抗弯能力得到较充分地发挥。在截面面积不变的情况下,工字形截面的比矩形的做大。所以,工字形截面比矩形截面更为合理。工程中,许多受弯构件广泛采用工字形、环形和箱形等薄壁截面,其原因就在于此。如图1(b)、图1(c)所示,分别为环形和箱形截面。
结论:正方形优于圆形,矩形优于正方形,工字形比矩形截面更为合理。
应当指出,对于抗拉和抗压性能相同的塑性材料,如钢材,宜采用对称于中性轴的截面,以便使截面上、下边缘处的最大拉应力和最大压应力同时达到材料的弯曲容许应力。对于抗拉性能低于抗压性能的脆性材料,如铸铁,宜采用中性轴偏于受拉一侧的截面,比如T形截面,以便使截面上、下边缘处的最大拉应力和最大压应力也能同时都达到材料的弯曲容许应力。
还应当指出,上述讨论梁的截面合理性,仅是从弯曲正应力强度出发的。梁截面的合理形状还应满足梁的刚度、稳定性,以及施工和使用等方面的要求。例如,梁的横截面过高、过窄,从强度条件来看是合理的,但却容易发生侧向失稳。
内容源于网络,如有侵权,请联系删除
相关资料推荐:
知识点:梁截面形状的合理选择
0人已收藏
0人已打赏
免费3人已点赞
分享
混凝土结构
返回版块140.17 万条内容 · 2217 人订阅
阅读下一篇
紧凑用地下,校园设计策略——创新立体:架空层、下沉庭院、空中花园......用地紧张是大部分建筑师都会想秃头的难题,特别是校园空间。 校园是一个充满朝气的场所,如何在紧凑用地的情况下,还能让设计不显得那么枯燥无味呢? 面对二维层次上面积不足的现实问题, 那就需要在满足各部分功能及流线合理的前提下,打造 多层次的室外空间、 多元化的共享空间,为校园增添活力。 那么哪些空间能为校园方案增加亮点?
回帖成功
经验值 +10
全部回复(0 )
只看楼主 我来说两句抢沙发