3.4.1 角焊缝的形式和应力分布
(1)角焊缝的形式:直角角焊缝、斜角角焊缝
(a)直角角焊缝 
(b)斜角角焊缝
对于α>135度或α<60度斜角角焊缝,除钢管结构外,不宜用作受力焊缝。 
(2)直角角焊缝的受力分析
(a)侧面角焊缝(侧焊缝) 
试验表明侧面角焊缝主要承受剪力,强度相对较低,塑性性能较好。因外力通过焊缝时发生弯折,故剪应力沿焊缝长度分布不均匀,两端大中间小,lw/hf越大剪应力分布越不均匀。
(b)正面角焊缝
正面角焊缝受力复杂,应力集中严重,塑性较差,但强度较高,与侧面角焊缝相比可高出35%--55%以上。

正面角焊缝的破坏形式分为:焊缝撕裂,焊缝与主板脱裂、焊缝与副板脱裂。 
3.4.2 角焊缝的构造
(1)最小焊脚尺寸hf,min
为了避免在焊缝金属中由于冷却速度快而产生淬硬组织,导致母材开裂,hf,min应满足以下要求: 
式中: t2----较厚焊件厚度
另:对于埋弧自动焊hf,min可减去1mm;
对于T型连接单面角焊缝hf,min应加上1mm;
当t2≤4mm时,hf,min=t2;
(2)最大焊脚尺寸hf,max
为了避免焊缝处局部过热,减小焊件的焊接残余应力和残余变形,hf,max应满足以下要求:

式中: t1---较薄焊件厚度;
对于板件边缘的角焊缝,尚应满足以下要求:
当 t≤6mm时,hf,max≤t;
当 t>6mm时,hf,max≤t-(1~2)mm; 
(3)侧面角焊缝的最小计算长度
对于焊脚尺寸大而长度小的焊缝,焊件局部加热严重且起落弧坑相距太近,以及可能产生缺陷,使焊缝不可靠。故为了使焊缝具有一定的承载力,规范规定: 
(4)侧面角焊缝的最大计算长度
侧面角焊缝在弹性工作阶段沿长度方向受力不均,两端大而中间小。焊缝长度越长,应力集中系数越大。如果焊缝长度不是太大,焊缝两端达到屈服强度后,继续加载,应力会渐趋均匀;当焊缝长度达到一定的长度后,可能破坏首先发生在焊缝两端,故: 
注:
( a)当实际长度大于以上值时,计算时不予考虑;
(b)当内力沿侧焊缝全长分布时,不受上式限制。
(5) 搭接连接的构造要求

当板件端部仅采用两条侧面角焊缝连接时:
( a)为了避免应力传递的过分弯折而使构件中应力不均,规范规定: lw≥b;
(b)为了避免焊缝横向收缩引起板件的拱曲太大,规范规定:
b≤16t1 (t1>12mm)
或 b≤190mm (t1≤12mm)
(c)当角焊缝的端部位于构件转角处时,应作2hf的绕角焊,且转角处必须连续施焊。

(d)在搭接连接中,搭接长度不得小于焊件较小厚度的5倍,且不得小于25mm。
3.4.3 角焊缝的计算
(1)角焊缝强度计算的一般表达式
试验表明,直角角焊缝的破坏常发生在45o截面,故通常将45o截面作为计算截面,作用在该截面上的应力如下图所示: 
在复杂应力状态下,其强度条件应满足:


直角角焊缝的强度计算公式: 

将3—9、3—10式,代入3—11式得: 
βf—正面角焊缝强度增大系数;静载时取1.22,动载时取1.0。
(2)轴心力作用时盖板连接的角焊缝计算
对于正面角焊缝,τf=0,由3—10式得: 
对于侧面角焊缝,σf=0,由3—5式得:

对于三面围焊缝
正面角焊缝所承受的内力 
侧面角焊缝所承受的内力 
以上各式中:
he=0.7hf; lw—角焊缝计算长度,考虑起灭弧缺陷时,每条焊缝取其实际长度减去2hf。
(3)轴心力作用时角钢连接的角焊缝计算
(a)仅采用侧面角焊缝连接

由力及力矩平衡得: 
故:


强度计算:

(b)采用三面围焊 

由力及力矩平衡得: 
余下的计算与仅采用侧面角焊缝连接计算相同。
(c)采用L形围焊

令3-26中N2=0得:

即可采用3-23、3-29计算L形焊缝 
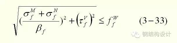
(4)N、M、V共同作用下的角焊缝计算
在N、M、V、共同作用时,焊缝上端点处最危险,该点焊缝应满足: 
其中 
(5)T、V共同作用下的角焊缝计算 
将F向焊缝群形心简化得:
V=F
T=F(e1+e2)
假定:
(a)被连接件绝对刚性,焊缝为弹性,即:T作用下被连接件有绕焊缝形心旋转的趋势;
(b)T作用下焊缝群上任意点的应力方向垂直于该点与焊缝形心的连线,且大小与r成正比;
(c)在V作用下,焊缝群上的应力均匀分布。
故:该连接的设计控制点为A点和A’点。

T作用下A点应力: 
将其沿x轴和y轴分解: 
剪力V作用下,A点应力: 
将3-35、3-36、3-37代入3-13得,A点应满足:

内容源于网络,如有侵权,请联系删除
相关资料推荐:
知识点:角焊缝的构造与计算
0人已收藏
0人已打赏
免费4人已点赞
分享
钢结构工程
返回版块46.53 万条内容 · 1213 人订阅
阅读下一篇
对接焊缝的构造与计算3.3.1 对接焊缝的构造要求 (1)对接焊缝的坡口形式: 对接焊缝的焊件常做坡口,坡口形式与板厚和施工条件有关,t 为焊缝板件厚度。 (a)当t<6mm(手工焊),t<10mm(埋弧焊)时可不做坡口,采用直边缝; (b)t=6~20mm时,宜采用钝边P的单边V形和双边V形坡口; (c)t>20mm时,宜采用U形、K形、X形坡口。 (2)V形、U形坡口焊缝单面施焊,但背面需进行清根补焊。
回帖成功
经验值 +10
全部回复(1 )
只看楼主 我来说两句 抢板凳看一下。了解下这方面的内容
回复 举报