3.3.1 对接焊缝的构造要求
(1)对接焊缝的坡口形式:
对接焊缝的焊件常做坡口,坡口形式与板厚和施工条件有关,t 为焊缝板件厚度。
(a)当t<6mm(手工焊),t<10mm(埋弧焊)时可不做坡口,采用直边缝;
(b)t=6~20mm时,宜采用钝边P的单边V形和双边V形坡口;
(c)t>20mm时,宜采用U形、K形、X形坡口。 
(2)V形、U形坡口焊缝单面施焊,但背面需进行清根补焊。
(3)对接焊缝的起、灭弧点易出现缺陷,故一般用引弧板引出,焊完后将其切去;不能做引弧板时,每条焊缝的计算长度等于实际长度减去2t1 , t1为较薄焊件厚度。
(4)当板件厚度或宽度在一侧相差大于4mm时,应做坡度不大于1:2.5(静载)或1:4(动载)的斜角,以平缓过度,减小应力集中。

3.3.2 对接焊缝的计算
对接焊缝分为:焊透和部分焊透两种;
动荷载作用下部分焊透的对接焊缝不宜用做垂直受力方向的连接焊缝,如下图所示,不宜部分焊透;

对于静载作用下的一级和二级对接焊缝其强度可视为与母材相同,不予计算。三级焊缝需进行计算;
对接焊缝可视作焊件的一部分,故其计算方法与构件强度计算相同。
(1)轴心力作用下的对接焊缝计算 

式中:
N—轴心拉力或压力;
t—板件较小厚度;T形连接中为腹板厚度;
ftw、fcw —对接焊缝的抗拉和抗压强度设计值。
当不满足上式时,可采用斜对接焊缝连接如图B。


另:当tanθ≤1.5时,全熔透对接焊缝不用验算焊缝强度,此时焊缝强度满足要求!
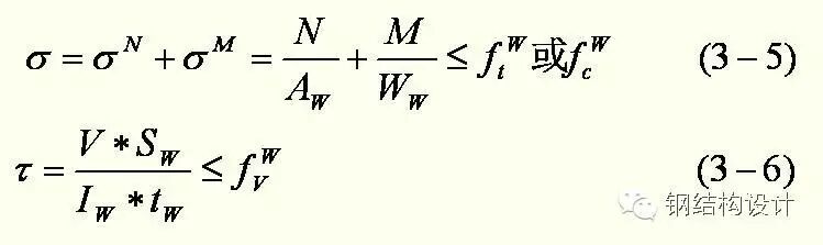
(2)M、V共同作用下的对接焊缝计算
(a)板件间对接连接
因焊缝截面为矩形,M、V共同作用下应力图为:

故其强度计算公式为:

式中:Ww--焊缝截面模量; Sw--焊缝截面面积矩; Iw--焊缝截面惯性矩。
(b)工字形截面梁对接连接计算

1)对于焊缝的σmax和τmax应满足式3-2和3-3要求;
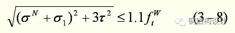
2)对于翼缘与腹板交接点焊缝(1点),其折算应力尚应满足下式要求:

式中1.1为考虑最大折算应力只在局部出现的强度增大系数。
(3)N、M、V共同作用下的对接焊缝计算
(a)矩形截面


中和轴处:

(b)工字形截面

工字形截面对接焊缝除满足上述三项计算外,尚应计算翼缘与腹板相交处的折算应力,即翼缘与腹板相交处:

内容源于网络,如有侵权,请联系删除
相关资料推荐:
知识点:对接焊缝的构造与计算
0人已收藏
0人已打赏
免费4人已点赞
分享
钢结构工程
返回版块46.53 万条内容 · 1213 人订阅
阅读下一篇
钢结构焊接种类和焊缝形式3.2.1 钢结构焊接(welding of steel structure) 是指将各种不同形状和厚度的钢结构零件通过局部加热,达到原子结合的一种连接方法。钢结构焊接技术是在19世纪末20世纪初发展起来的。20世纪30年代出现了厚涂料的优质电焊条,显示了焊接方法的优越性,同时又发明了使用焊丝和焊剂的埋弧焊。中国的手工电弧焊始于20世纪40年代,并于50年代推广应用埋弧自动焊技术,60年代开始试验CO2气体保护焊、电渣焊技术,并逐步推广应用于钢结构制造中。
回帖成功
经验值 +10
全部回复(1 )
只看楼主 我来说两句 抢板凳看一下。了解下这方面的内容
回复 举报