摘要 在各级公路中,中小跨径桥梁量大面广。10~20m跨径预应力混凝土空心板梁,因其具有建筑高度低、施工方便、工程造价低等优点,深受设计工程师钟爱。但此类结构受构造缺陷、施工不规范、超载车辆等因素影响,长期以来工程病害比较突出,难以符合安全、耐久、适用、环保的交通健康发展理念。2009年,浙江省交通运输厅根据公路桥梁典型病害调研结果,提出限制使用空心板,在桥下净空高度能满足的情况下建议推荐采用T梁。2011年,浙江省公路协会组织设计、施工、检测、咨询、高校等多部门联合开发矮T梁以替代空心板,现已完成了通用图编制。本文着重介绍矮T梁通用图研发过程的基本思路、计算方法和构造设计等,以利在今后的使用过程中,各相关专业人员能更充分全面地了解该结构的特点。
关键词 矮T梁;通用图;参数化设计;构造特点
空心板梁的病害主要表现在铰缝病害、板梁裂缝两方面。铰缝病害有其构造缺陷上的原因,如铰缝断面小且效果不佳的钢筋连接,同时施工振捣难以密实、板梁自身刚度偏弱以及桥面铺装调平层与结构连接不佳等。板梁在车辆以及温度、收缩徐变等荷载反复作用下随着时间的推移造成板体间混凝土的粘结力逐渐降低,直至铰缝混凝土脱落或碎裂,形成单板受力。要想彻底解决铰缝失效等病害,只有取消横向铰接改用横向刚接或者进一步提高梁板建筑高度、桥面铺装调平层结构厚度等。国外一般在装配式空心板间设置横向钢束来增加其结构整体性,但该施工工艺控制较复杂,横向钢束管道需要准确定位,国内目前的施工水平很难达到其控制要求。板梁裂缝包含纵向、横向以及腹板竖向几种形态,主要是因此类结构断面纤薄,小箱室构造对截面钢筋、钢束定位精度要求高,但现有施工工艺无法达到设计要求,时常造成钢筋保护层厚度、钢束位置等控制不严格,箱体内壁无法振捣且缺少有效检测手段,外加箱室内温室效应等,导致其极易开裂。
2009年,浙江省公路桥梁典型病害调研结果揭示,空心板结构在运营3~5年之后病害普遍存在,而T梁结构使用性能基本完好,甚至数座运营已超过50年的T梁仍是如此。基于此,浙江省交通运输厅提出除受限制区域外,应尽量限制使用空心板,建议推荐使用T梁。
基于T梁桥良好的使用效果,由此想到将小箱室闭口截面改为实体肋板截面,利用传统T梁的优势研究开发矮T梁结构,应用于20m及其以下跨径桥梁,从而替代病害严重的空心板结构。2011年,浙江省公路协会组织设计、施工、检测、咨询、高校等多部门成立了矮T梁研发课题组。
1 矮T梁标准化设计原则及目标
矮T梁通用图研发遵循如下原则:
①安全第一的原则。结构设计应满足现行标准规范的要求,充分重视国内物流业快速发展的现实,考虑低矮结构受力特点、合理选取构造尺寸,兼顾结构施工安全和使用耐久性。
②适度超前的原则。在满足国内规范基础上,积极、认真地吸取国内外工程建设的成功经验和失败教训,适度超前于现行规范;施工工艺、材料选用既考虑现有施工水平, 又适度提高设计要求,促进相关产业技术进步。基于近年来规范对中小跨径桥梁设计荷载的不断调整,不再将公路—Ⅱ级荷载纳入结构验算。
③确保质量的原则。因通用图使用量大面广,编制时应优先选择适应面广,并在工程实践上要求迫切、有利于方便施工及质量控制等关键性技术问题上寻求新突破。
根据上述原则,基于常见中小跨径板梁使用需求,制定矮T梁通用图设计拟形成如下成果:
①跨径:包括10m、13m、16m、20m;
②荷载:公路—Ⅰ级;
③结构形式:结构简支、先简支后结构连续;
④交角:0°、15°、30°;
⑤参数化设计:与国内大型软件研发单位合作,研发矮T梁专用绘图软件,实现参数化设计及修改功能,使其适用于各种常见桥宽。
2 矮T梁标准化设计关键技术研究
中小跨径桥梁在保证结构受力安全、适用耐久的前提下,摆在设计人员面前最主要的问题就是如何降低造价。对于矮T梁结构,既要考虑选取低矮结构,又要合理控制板梁间距以方便施工,主要研究内容及成果阐述如下:
2.1.1合理梁高的拟定
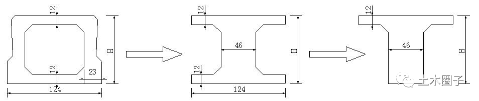
考虑到汽车荷载重型化,矮T梁应具有合理的建筑高度,以保证合理安全储备、确保行车舒适性和使用耐久性。现有常见预制板梁中,空心板、组合小箱梁因其建筑高度低,深受工程设计人员的钟爱。通过对空心板、小箱梁结构研究,在综合分析其截面布置、建筑高度、结构受力等方面的相互关联,探寻其细部尺寸拟定存在的规律,为矮T梁合理结构尺寸拟定积累数据。
按照功能相当的原则,我们可知:
单榀空心板计算截面可近似等效为T梁。见图1。

图1 空心板等效计算截面演化示意
单榀组合小箱梁计算截面可近似等效为2榀预制T梁,T梁间横向间距1.7m。见图2。

图2 小箱梁等效计算截面演化示意
基于此,我们对交通部颁通用图空心板、小箱梁结构,各跨径建筑高度作了收集和汇总,并做了统计分析。见表1、表2。
对于10~20m跨径空心板结构,梁体高度H=0.05L+Δ。随着跨径L的增大,Δ由0.1逐级递减至-0.05,规律明显。随着跨径增大,梁体刚度(高跨比)有降低。自2011年起,浙江省高等级公路开始限制使用20m跨径空心板。
对于20~40m跨径预制小箱梁结构,梁体高度H=0.05L+Δ,随着跨径L的增大,Δ由0.2逐渐递减至0,规律明显。随着跨径增大,梁体刚度(高跨比)亦有降低。自2013年起,浙江省高等级公路开始限制使用35m、40m跨径小箱梁。除非特殊路段,如上跨铁路、大角度斜交等,但需要特殊设计,如截面腹板加厚或者增加建筑高度等。
表1 10~20m跨径空心板结构高度、跨径关系分析

表2 20~40m跨径小箱梁结构高度、跨径关系分析

利用传统T梁的优势,降低T梁的建筑高度,通过缩小板梁横桥向间距,可以实现板梁建筑高度降低。
基于上述分析,各跨径矮T梁建筑高度取用原则如下:
梁高:H=0.05L+0.1(m)。
L为桥梁跨径,单位m。矮T梁梁高相较同跨径空心板结构,梁高作有限提高,适当规避空心板结构断面尺寸偏小、安全储备低的缺点。
2.1.2 腹板厚度的拟定
腹板厚度取值与结构刚度需求,钢束布设方式,梁端锚具襟边、钢筋连接要求,板梁间距等有关。经计算后,跨中段10m~16m跨径按照35cm控制、20m跨径按照40cm控制,全断面不设置马蹄。对于先简支后结构连续,考虑方便施工及钢筋连接质量,靠近梁端1m区域10m~16m加厚至60cm、20m跨径加厚至70cm,期间设置100cm长度作为腹板厚度过渡渐变。对于结构简支,梁端采用与跨中段相同截面,不设置加厚展宽段。
保证腹板合适厚度,可提高构件单梁刚度,控制梁板反拱幅度,提高通车舒适性。同时,方便施工振捣、钢束定位以及钢筋保护层厚度、钢筋净距控制等。先简支后连续结构,梁端腹板在梁端局部加厚展宽,可保证钢筋连接质量、降低后浇段砼施工难度。采用合理腹板厚度,梁端锚具可采用筒状深槽锚固,降低封端砼施工难度,有效保障梁端斜截面抗剪能力。

图3 先简支后结构连续梁端锚具、钢筋布设示意(16m跨径)
对于先简支后结构连续,10~16m跨径推荐采用普通钢筋砼连续,20m跨径推荐采用墩顶设置负弯矩钢束连续。
2.1.3 板梁间距及预制板宽的拟定
从充分发挥矮T梁构造上的优势,适当增加矮T梁翼缘板宽,尽量控制湿接缝后浇带宽度,以求获得最大的偏心距并发挥钢束预压性能。矮T梁板梁间距受建筑高度制约,而且过大的板梁间距会导致板梁横向分布系数幅差增大。
基于发挥翼缘板受力性能、方便安装以及实现标准化设计、标准化施工需要等,矮T梁通用图预制板宽为120cm,板梁间距介于150~170cm区间,不同的梁距通过湿接缝宽度调整。考虑桥面板湿接缝横向钢筋连接要求,控制湿接缝的宽度不小于30cm也是合适的。

图4 桥宽12.5m断面布设图

图5 桥宽16.25m断面布设图
板梁最大荷载横向分布系数,上述两个高等级公路常见断面,经计算基本相当,幅值相差仅2.9%,说明按照上述原则拟定的板梁尺寸合理、适用。
2.1.4 横隔板设置
横隔板道数(端、中):基于计算分析及工程经验,10~16m设置3道,20m跨径设置4道,平行于斜交方向布设。
2.2矮T梁计算方法研究
2.2.1矮T梁截面效率分析
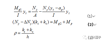
为了验证矮肋T梁截面尺寸是否合理,采用截面效率指标核查。截面效率指标ρ在预应力混凝土桥梁设计中具有重要意义,它是校核梁的横截面设计是否合理的一个控制指标,有关截面效率指标的定义,可参考相关文献[3,4]。
在预加力阶段和运营阶段,预应力混凝土梁截面承受双向弯矩。如图6所示,在预加力阶段,施加了偏心预加力Ny,在预加力Ny和梁自重弯矩Mg1的共同作用下,合力Ny相当作用于截面的下核心点,此时,截面上缘应力为零。在运营阶段,若计及预应力损失△Ny,截面内合力为Ny’=Ny-△Ny,则在结构二期恒载弯矩弯矩Mg2和汽车与人群荷载弯矩Mp作用下,合力Ny’将从下核心点移至上核心点,此时,截面下缘应力为零,即移动了k=ks+kx的距离。则有:


图6 截面计算图示
以20m跨径矮T梁为例,经计算,跨中截面效率指标
。
截面效率指标ρ在很大程度上表证了截面承受活载的能力,但ρ值并不是越大越好,因为ρ值过大意味着截面过于单薄,存在失稳的可能性。文献[3]提出了ρ的合理范围为0.45~0.5。据此判断,本项目所拟定矮T梁截面尺寸合理。
2.2.2矮T梁横向分布系数研究
荷载横向分布是指公路车辆荷载在桥梁横向各主梁间的分布,它是一个复杂的空间结构问题。本项目从平面、空间分析角度,用传统解析算法和有限元数值计算方法分析矮T梁的结构特性,对不同跨径矮T梁桥的横向分布按简支、连续和正交、斜交进行了深入的分析和研究,并探寻了矮T梁桥横向分布系数的纵向分布特征,测算了主梁间距对于横向分布的影响。
基于12.5m、16.25m宽路幅桥梁,主要研究结论如下:
①采用数值计算方法得到的矮T梁横向分布影响线总体位于刚性横梁法和刚接板梁法之间,影响线线形与刚接板梁法较接近。随着跨径的增加,矮T梁宽跨比逐渐接近于0.5,三种方法得到的边梁横向分布影响线趋向一致。
②对于简支矮T梁,采用刚接板梁法得到的横分系数,略大于数值计算方法,最大比值约为103%以内。对于连续结构,数值计算方法略大,最大比值约为105%。因此,可以采用刚接板梁法作为矮T梁横向分布计算方法。
③对于连续结构,可以采用等效简支梁法计算横向分布。跨径、桥宽相同,连续结构的横向分布略大于简支结构,同时随着跨径的增加,差异变大。但由于矮T梁跨径相对较小,最大比值仅约为102%。
④随着斜交角度从0°增加到30°,矮T梁边梁、次边梁的横分系数呈下降趋势,最大下降幅度约3.6%,但仍为相对大值,中梁呈增加趋势,最大增加幅度约6.2%。因此可认为在0~30°范围,斜交角度对跨中横向分布的影响较小,可按正交桥梁计算。
⑤对于剪力横分系数的纵向分布,数值结果与传统简化方法的转折点位置总体相符,跨中一般为数值方法为大,支点一般为简化方法为大,结合单梁有限元和空间梁格有限元的活载内力对比,为方便计算,可采用传统简化方法,即支点采用杠杆法,跨中段采用刚接板梁法,在支点到第一道中横梁或1/4L位置按直线渐变。
⑥随着梁间距的增加,横向分布系数主要呈现线形增加规律。10m跨径矮T梁增速相对较快,其梁间距每增加10cm,跨中横向分布系数平均增幅约为5%。
2.2.3 单梁与空间梁格的对比分析
矮T梁为预制拼装结构,横向湿接缝与预制主梁为组合式受弯构件,需要考虑作用效应的分阶段累积。单梁分析时采用主梁多单元模型,即在桥梁横向分别建立预制梁、湿接缝的单元。梁格模型则建立由预制矮T梁、湿接缝、横隔梁、虚拟横梁和虚拟纵梁等组成的空间梁格有限元模型。见图7。

图7 单梁、空间梁格计算模型示意

图8 边梁活载最大缘应力(3-20m,12.5m桥宽,单位MPa)
对比单梁模型和空间梁格模型的成桥状态,及梯度温度、不均匀沉降和汽车荷载等不同作用效应各自影响。经分析可知,两种模型在成桥状态、梯度温度、不均匀沉降效应计算结果基本相同。汽车荷载应力对比,梁格边跨跨中下缘应力小2.21MPa,比值为0.77倍;支点上缘小0.69MPa,比值为0.80倍。其差异原因主要在于横分系数的取值,可以认为单梁简化计算方法基本合理。见图8。
2.2.4 横隔板设置分析
横隔板对于加强结构的横向联系、保证结构的整体性具有较大作用。分析采用梁格有限元对路基宽度26m(单幅桥梁宽度12.5m)的20m简支矮T梁进行比较分析,断面见图4。分析中主要考虑设置两道横隔板、一道横隔板和不设置横隔板三种情况。对中横隔梁设置必要性的分析主要从两个角度进行考察:一是某主梁上作用单位车道荷载(均布荷载qk=10.5kN/m,集中荷载Pk=357.1kN)时,该主梁及相邻主梁内力的变化情况;二是横向分布的变化。见图9~图14。
从内力角度,设置横隔梁有助于改善主梁内力分布。一方面受荷主梁在横隔梁位置的峰值内力降低较为明显,跨中设置中横梁后,跨中弯矩降为79%,设置两道中横梁后,对应位置剪力降为66%,且峰值位置调整。另一方面相邻主梁可以分担更多荷载。不设横隔梁时,主梁间剪力仅靠翼缘板传递,设置后附近的内力分布发生变化,设置一道中横隔梁后相邻梁跨中弯矩是不设中横梁的1.15倍,设置两道中横梁后,横隔梁位置分担剪力是不设横梁的2.44倍。
从横分角度,横隔梁对于平抑影响线竖标峰值具有显著意义。跨中设置横隔梁时,其边梁弯矩影响线竖标约为不设置横隔梁时0.79倍;设置两道横隔梁时,其3.5m处次边梁剪力影响线竖标约为0.40倍。设置横隔梁有助于减轻单列超重车辆的不利影响,如不设跨内横隔梁,经测算,若单列车超载30%,靠近支点剪力横分系数会达到设计控制临界。
2.2.5 桥面现浇层与结构共同作用影响分析
桥面现浇层参与共同作用,主要体现在三个方面:加厚了桥面板厚度,提高了矮T梁的横向抗弯和抗剪刚度,有利于荷载的横向分布,促进各主梁共同受力;加大了结构梁高,有利于提高主梁、桥面板和横隔梁等的承载能力;增加了二次恒载的重量,需要合理设置现浇层厚度。板式桥梁桥面现浇层与结构的叠合面是整个结构的薄弱面,叠合面的抗剪强度是保证叠合前后浇筑的两部分混凝土形成整体截面而共同工作的关键。本项目在叠合面位置布置了抗剪钢筋。关于桥面现浇层参与共同作用的影响分析,设计假定参与共同作用的桥面现浇层厚度分别为0cm、4cm、6cm、8cm、10cm,计算结果如下:
对横向分布的影响:桥面现浇层参与共同作用对横向分布影响较小,10m跨最大降低仅约2%,20m跨最大降低仅约1.1%,可忽略该影响因素。
对承载能力的影响:对主梁抗弯能力的提高略大于梁高增大幅度,对主梁抗剪能力的提高略小于梁高的增加幅度,对桥面板和横隔梁的抗弯能力的提高相对较大。
相关计算详见表3~表6。
表3 不同现浇层厚度对截面抗弯极限承载能力的影响(跨中)

表4 不同现浇层厚度对截面抗剪极限承载能力的影响(支点)

表5 不同现浇层厚度对桥面板抗弯极限承载能力的影响

表6 不同现浇层厚度对横隔梁极限承载能力影响

由分析可知,采取有效措施保证桥面现浇层与结构叠合面连接,保证桥面现浇层有效厚度,对提高结构安全储备是有利的。
2.3 矮T梁施工工艺要求
良好的设计意愿需要通过严格的施工及良好的质量控制管理才能实现。矮T梁通用图在设计说明书中列出了如下施工要点:
①浇注矮T梁混凝土前应严格检查附属设施的预埋件是否齐全,确定无误后方可浇注。施工时,应保证预应力束管道及钢筋位置准确,控制混凝土集料最大粒径不得大于20mm。浇注混凝土时应充分振捣密实,严格控制浇注质量。
②为了防止预制梁上拱度过大,存梁期不宜超过90d。
③对于矮T梁预应力的施加工艺,应该予以充分注意和重视。预应力束管道的位置必须严格按坐标定位,并用定位钢筋固定,定位钢筋与空心板腹板的箍筋点焊连接,严防错位和管道下垂。
④采用智能张拉工艺,预应力钢束必须待浇筑混凝土达到设计强度、弹性模量90%后,且混凝土龄期不小于10d,方可张拉。当预应力钢束张拉达到设计张拉力时,实际引伸量值与理论引伸量值的误差应控制在6%以内。实际引伸量值应扣除钢束的非弹性变形影响。张拉完成后,孔道压浆应饱满。
⑤由于吊环吊装较难满足新版规范的要求,采用设吊孔穿束兜板底加扁担梁的吊装方法吊装。
3 荷载试验
标准图开发过程中,项目组选取了3座不同跨径桥梁进行了实桥现场验证性试验,选取了一片13m中梁做了单梁破坏性试验。见图14、图15。
单梁室内破坏性试验目标:①获取矮T梁的变形、应变和裂缝发展规律,研究矮T梁的极限承载能力、破坏机理等;②对矮T梁综合性能进行评价,为其推广应用提供决策依据。
实桥现场验证性试验目标:①通过选定桥跨的静力试验分析确定试验跨桥梁结构在设计荷载作用的实际受力状况,评价其在设计使用荷载作用下的承载能力、刚度及工作状况等性能。②测试成桥关键截面横向分布系数以及控制跨应变曲面,并与理论值比较,评价成桥状态下的整体工作性能。③测试成桥关键截面处的横隔板受力情况,评价横隔板在设计使用荷载作用下的受力性能。④通过选定桥跨的动力试验分析确定试验桥跨在自由振动或强迫振动下作用下桥梁自振频率,评价其在移动荷载作用下桥梁结构的频率等性能。
,梁体截面应变沿高度分布呈线性变化,满足平截面假定;裂缝形态及跨内分布均匀,表明梁体延性较好,钢筋与混凝土结合性能良好;构件破坏前有明显预兆,整个破坏过程缓慢,截面破坏形式属于适筋梁的“塑性破坏”。
实桥验证性试验结果表明:在设计荷载作用下,梁体处于弹性工作状态,其刚度和强度满足设计要求。从理论值与实测值对比发现,结构受力与理论计算模型变化规律基本一致。结构整体性较好,各片梁板间的横向联系符合设计要求。
4 矮T梁社会、经济效益分析
基于数个依托工程人工、机械、材料以及施工工艺的调研和分析,矮T梁具有施工快速、工艺简单、实体截面质量有保障等优点。既有运营公路T梁养护反馈信息,该类结构病害少、使用效果好,可预期矮T梁结构应有良好的使用性能。
浙江省《中小跨径桥梁典型病害研究报告》揭示,空心板桥梁一般在运营后3-5年后出现病害,在运营8年前后就会出现大量的维修。数个通车项目养护费用统计显示,修复费用年约在14元/m2左右。从全寿命周期成本考虑,矮T梁在安全性能、使用性能、耐久性能、疲劳性能、生态性能和服务性能上均优于空心板结构,基本可消除营运期维修带来的环境影响。
矮T梁结构在桥梁结构高度受到限制的情况下,仍可通过缩小板梁间距,降低建筑高度。伴随着国内物流业的快速发展,早期修建空心板桥已经体现病害频发症状。应该说,对既有空心板桥梁,矮T梁结构是其较好的维修替代品。
5 参数化设计成果
参数化设计是把设计的限制条件,通过相关数字化软件,与设计的形式输出之间建立参数关系,生成可以灵活调控的数字模型。基于BIM理念设计,是当今桥梁信息化的发展趋势。本项目在拟定矮T梁结构尺寸、桥面宽度、施工控制要求后,课题组引入国内专业桥涵软件研发单位,并以此为平台窗口联合研发了矮T梁参数化设计程序。参数化设计考虑了设计习惯的多元化,具有较普遍的适应性,适用于日益变化的工程项目的设计需求。从结构类型上支持简支和简变连,从斜交角度上支持正交和斜交,从梁肋类型上支持有马蹄和无马蹄以及腹板在端部是否加厚等。
目前,参数化设计已实现包含构造图、钢束图、钢筋图、部分附属构件等全部图纸绘制功能。
6 小结
本文简单介绍了矮T梁编制过程中的研发思路、关键性技术研究、构造特点等,期望在使用过程中与同行加强沟通,以基于性能的设计方法不断优化完善矮T梁标准图设计。
公路建设发展从典型示范工程、生态环保公路、美丽公路到品质工程,核心都是“安全、耐久、适用、舒适、生态环保、经济、美观和与人文自然的和谐”工程建设理念。利用传统T梁的优势,降低T梁的梁高,研究开发小间距矮T梁,应用于20m及其以下跨径的桥梁,从而取代病害频发的空心板梁,也是桥梁“四化”技术的极大推广和应用。
本次矮T梁通用图研发顺利完成,与各级领导及专家的关心和辛勤工作是分不开的。为加强组织协调,在浙江省成立了以卞钧霈、王振民等为首的技术领导小组。在通用图的编制过程中,通过资料调研、模型试验、实桥检测和仿真分析等手段对结构形式、受力特征、计算方法、施工工艺、参数化设计等进行了全面研究。在矮T梁标准化设计图纸推出之际,该结构已经在浙江省内数十个项目上成功应用,得到在建单位项目业主、施工单位极大的好评。
内容源于网络,旨在分享,如有侵权,请联系删除
相关资料推荐:
https://ziliao.co188.com/d63700379.html
知识点:矮T梁通用图标准化设计技术研究
0人已收藏
0人已打赏
免费3人已点赞
分享
桥梁工程
返回版块19.44 万条内容 · 655 人订阅
阅读下一篇
大规格H型钢组合梁未来可期钢混组合梁能充分发挥钢和混凝土各自优点,结构自重轻、桥墩基础规模小、架设方便、绿色环保,在国外应用较多,但在我国公路桥梁建设中的占比不到1%。2016年,交通运输部研究决定推进公路钢结构桥梁建设。然而,钢混组合梁的钢梁采用钢板焊接,工程造价高。 大规格H型钢组合梁,采用大规格热轧H型钢代替传统的焊接钢板梁,通过研究发现,该方案可显著降低工程造价,有利于钢混组合梁的推广,提高桥梁建设工业化水平。
回帖成功
经验值 +10
全部回复(0 )
只看楼主 我来说两句抢沙发