2.地基的临塑荷载
设有一条形基础,传到基底上的基底压力为p,基础埋深为d,埋深d范围内土层平均重度为γm,地基持力层的重度为γ,土的抗剪强度指标为c,φ。








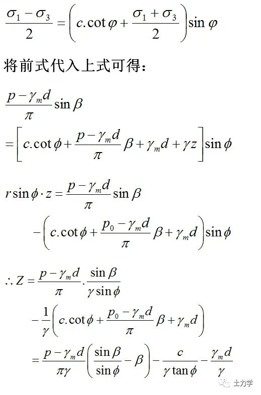
③临塑荷载pcr的计算公式




(2)偏心荷载作用下

关于临塑荷载与临界荷载的几点说明:
内容源于网络,如有侵权,请联系删除
相关资料推荐:
知识点:地基临塑荷载和临界荷载
0人已收藏
0人已打赏
免费3人已点赞
分享
地基基础
返回版块12.11 万条内容 · 717 人订阅
阅读下一篇
地基破坏模式在荷载作用下地基因承载力不足而引起的破坏,一般都是由于地基土抗剪强度不足而发生剪切破坏的。根据地基土的剪切破坏的性状,可分为三种地基破坏模式:整体剪切破坏、局部剪切破坏和冲切剪切破坏,如图所示。 1.地基剪切破坏模式 (1)整体剪切破坏 其破坏特征是地基在荷载作用下先产生似线弹性变形;当荷载增大至一定数值时,在基础的边缘以下地基开始发生剪切破坏,随着荷载的继续增大,剪切破坏区也逐渐扩大;当剪切破坏区在地基土中形成连续的滑动面时,土从基础两侧挤出隆起,基础发生急剧下沉并侧倾而破坏。其荷载与沉降的关系开始呈线性变化,当接近破坏时出现明显的拐点。整体剪切破坏最有可能发生在密砂和坚硬的粘土中。
回帖成功
经验值 +10
全部回复(1 )
只看楼主 我来说两句 抢板凳相应于地基变形的三个阶段,地基有两个界限荷载,一个是相应于从线性变形阶段过渡到塑性变形阶段的界限荷载,称为地基的临塑荷载
回复 举报