土木在线论坛 \ 建筑结构 \ 地基基础 \ 地基破坏模式

地基破坏模式

发布于:2022-09-23 13:58:23 来自:建筑结构/地基基础 [复制转发]
在荷载作用下地基因承载力不足而引起的破坏,一般都是由于地基土抗剪强度不足而发生剪切破坏的。根据地基土的剪切破坏的性状,可分为三种地基破坏模式:整体剪切破坏、局部剪切破坏和冲切剪切破坏,如图所示。

图片


1.地基剪切破坏模式
1)整体剪切破坏
其破坏特征是地基在荷载作用下先产生似线弹性变形;当荷载增大至一定数值时,在基础的边缘以下地基开始发生剪切破坏,随着荷载的继续增大,剪切破坏区也逐渐扩大;当剪切破坏区在地基土中形成连续的滑动面时,土从基础两侧挤出隆起,基础发生急剧下沉并侧倾而破坏。其荷载与沉降的关系开始呈线性变化,当接近破坏时出现明显的拐点。整体剪切破坏最有可能发生在密砂和坚硬的粘土中。
常发生于密砂及硬粘土等坚实地基中。

图片

↑整体剪切破坏

2)局部剪切破坏

剪切破坏也从基础边缘开始,但滑动面不发展到地面,而是限制在地基内部某一区域,基础周围地面微微隆起,但不如整体剪切破坏时明显,如图所示。

图片

↑局部剪切破坏
压力与沉降关系曲线从一开始就呈现非线性关系,如图曲线
b

常发生于中等密实砂土中。
3)冲剪破坏
冲剪破坏一般发生于基础刚度很大,地基土十分软弱的情况。在荷载作用下,由于基础下软弱土的压缩变形使基础连续下沉,如荷载继续增加到某一数值时,基础可能向下“切入”土中,基础侧面附近的土体因垂直剪切而破坏,如图所示。

图片

↑冲剪破坏
冲剪破坏时,地基中没有出现明显的连续滑动面,基础四周的地面不隆起,基础没有很大的倾斜,压力与沉降关系曲线与局部剪切破坏的情况类似,曲线不出现明显的转折现象,如图曲线
C

常发生于松砂及软土中。
 

2.破坏模式的影响因素和判别

地基发生何种形式的破坏,既取决于地基土的类型和性质,又与基础的特性和埋深以及受荷条件等有关。如密实的砂土地基,多出现整体剪切破坏;但基础埋深很大时,也会因较大的压缩变形,发生冲剪破坏。对于软粘土地基,当加荷速率较小,容许地基土发生固结变形时,往往出现冲剪破坏;但当加速荷速率很大时,由于地基土来不及固结压缩,就可能已经发生整体剪切破坏;加荷速率处于以上两种情况之间时,则可能发生局部剪切破坏。
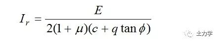
对于地基土破坏形式的定量判别,魏西克(Vesic, A. B)提出用刚度指标Ir的方法。地基土的刚度指标,可用下式表示:

图片

式中:
E——地基土的变形模量;
μ——地基土的泊松比;
c——地基土的粘聚力;
φ——地基土的内摩擦角;
q——基础的侧面荷载,q=γD,D为基础埋置深度,γ为埋置深度以上土的容重。
由上式可知,土愈硬,基础埋深愈小,刚度指标愈高。
魏西克还提出判别整体剪切破坏和局部剪切破坏的临界值,称为临界刚度指标Ir(cr)

图片

式中:
B——基础的宽度;
L——基础的长度;
IrIr(cr)时,地基将发生整体剪切破坏,反之则发生局部剪切破坏或冲剪破坏。

内容源于网络,如有侵权,请联系删除


相关资料推荐:

土钉支护结构破坏模式和加固机制分析

圆钢管高强混凝土轴压短柱的破坏模式


知识点:地基破坏模式

全部回复(0 )

只看楼主 我来说两句抢沙发
这个家伙什么也没有留下。。。

地基基础

返回版块

12.11 万条内容 · 717 人订阅

猜你喜欢

阅读下一篇

库伦土压力理论

1776年法国的库伦(C.A.Coulomb)根据极限平衡的概念,并假定滑动面为平面,分析了滑动楔体的力系平衡,从而求算出挡土墙上的土压力,成为著名的库伦土压力理论。该理论能适用于各种填土面和不同的墙背条件,且方法简便,有足够的精度,至今也仍然是一种被广泛采用的土压力理论。 1.基本假定   库伦理论的基本假定为: ①墙后填土为均匀的无粘性土(

回帖成功

经验值 +10