土木在线论坛 \ 建筑结构 \ 地基基础 \ 十字板剪切试验

十字板剪切试验

发布于:2022-09-23 13:27:23 来自:建筑结构/地基基础 [复制转发]
上面提到的三种试验方法:直接剪切试验,三轴压缩试验和无侧限抗压强度试验,都是在室内进行抗剪强度试验。由于土样在采取、运送、保存和制备过程中不可避免的要受到扰动,而且含水量也很难保持,因此,室内试验的测试精度要受到影响。十字板剪切试验是一种现场原位的测试方法,在工地现场直接测试地基土的抗剪强度。

 
1.试验设备
十字板剪切仪示意图如下所示。

图片

在现场试验时,先钻孔至需要试验的土层深度以上750mm处,然后将装有十字板的钻杆放入钻孔底部,并插入土中750mm,施加扭矩M使钻杆旋转直至土体剪切破坏。土体的剪切破坏面为十字板旋转所形成的圆柱面。
 
2.结果分析
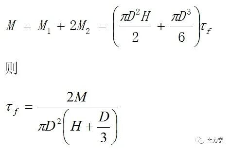
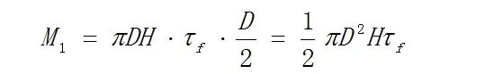
(1)圆柱体侧面上的抗扭力矩M1

图片

式中:
D——十字板的宽度,即圆柱体的直径;
H——十字板的高度;
τf——土的抗剪强度。

图片

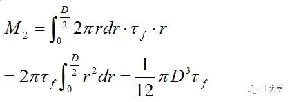
(2)圆柱体上、下表面上的抗扭力矩M2

图片

土体剪切破坏时所测的最大扭矩M,应与圆柱体侧面和上、下表面产生的抗扭力矩相等,即:

图片

对饱和软粘土,φ=0,则c=τf

 

内容源于网络,如有侵权,请联系删除


相关资料推荐:

TB10051-97铁路工程地基土十字板剪切试验规程

十字板剪切试验数据与土工试验c、φ值的关系

知识点:十字板剪切试验


全部回复(0 )

只看楼主 我来说两句抢沙发
这个家伙什么也没有留下。。。

地基基础

返回版块

12.11 万条内容 · 716 人订阅

猜你喜欢

阅读下一篇

无侧限抗压强度试验

1.适用土质 该试验主要用于粘性土。因为在无侧限条件下,无粘性土试样难以成型。 2.试验设备 (1)无侧限压缩仪:它实际是一简易的三轴剪切仪。试验时,对正圆柱形试样不施加周围压力(即σ3=0),只通过手轮提升螺杆顶推试样施加竖向力至试样破坏。由量力环测得此时的竖向力qu(即σ1值),qu称为无侧限抗压强度。 (2)三轴仪(σ3=0),详见

回帖成功

经验值 +10