土木在线论坛 \ 建筑结构 \ 地基基础 \ 无侧限抗压强度试验

无侧限抗压强度试验

发布于:2022-09-23 13:25:23 来自:建筑结构/地基基础 [复制转发]
1.适用土质

该试验主要用于粘性土。因为在无侧限条件下,无粘性土试样难以成型。
2.试验设备
1)无侧限压缩仪:它实际是一简易的三轴剪切仪。试验时,对正圆柱形试样不施加周围压力(即σ3=0),只通过手轮提升螺杆顶推试样施加竖向力至试样破坏。由量力环测得此时的竖向力qu(即σ1值),qu称为无侧限抗压强度。
图片
2)三轴仪(σ3=0),详见 三轴压缩试验
3.试验结果分析
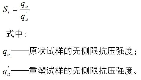
1)灵敏度St
将已做完无侧限抗压强度试验的原状土样,彻底破坏其结构,并迅速塑成与原状土同体积的重塑试样,以保持重塑试样的含水量与原状试样相同。
对重塑试样进行无侧限抗压强度试验,测得其无侧限抗压强度qu,则该土的灵敏度St为:

图片

按灵敏度分类
St=12时为低灵敏;  
St=24时为中灵敏;
St=48时为高灵敏;  
St8时为特别灵敏。


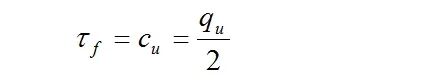
2c值的确定

无侧限抗压强度qu,相当于三轴压缩试验中试样在σ3=0条件下破坏时的大主应力σ1,故

图片

图片

这样便可利用简单的无侧限抗压试验代替繁琐的三轴剪切试验来测定饱和黏性土的不固结不排水抗剪强度τf,即

图片

式中 Cu——不固结不排水剪的粘聚力,kPa 。

内容源于网络,如有侵权,请联系删除


相关资料推荐:

无机结合料稳定土的无侧限抗压强度试验方法资料

无机结合料稳定土的无侧限抗压强度试验方法


知识点:无侧限抗压强度试验

全部回复(0 )

只看楼主 我来说两句抢沙发
这个家伙什么也没有留下。。。

地基基础

返回版块

12.11 万条内容 · 716 人订阅

猜你喜欢

阅读下一篇

三轴压缩试验

1.试验仪器介绍 三轴压缩试验使用的仪器为三轴剪力仪(也称三轴压缩仪),其核心部分是三轴压力室,它的构造见图。 此外,还配备有:(a)轴压系统, 即三轴剪切仪的主机台,用以对式样施加轴向附加压力Δσ1,并可控制轴向应变的速率:(b)侧压系统, 通过液体(通常是水)对土样施加周围压力σ3;(c)孔隙水压力测读系统,用以测量土样孔隙水压力u及其在试验过程中的变化。此外,还可测量试样的排水量。

回帖成功

经验值 +10