1.直接剪切试验方法
直接剪切试验是最早的测定土的抗剪强度的试验方法, 在世界各国广泛应用。

将土样放在上、下两块透水石之间。垂直压力由杠杆系统通过加压活塞和透水石传给土样,水平剪应力则由轮轴推动活动的下盒施加给土样。土体的抗剪强度可由量力环测定,剪切变形由百分表测定。在施加每一级法向应力后,匀速增加剪切面上的剪应力,直至试件剪切破坏。
记录下剪切破坏时P和T的值,对于相同的土样,当施加的P不同时,所测得的T值也不同。
试验时,一般采用4个完全相同的土样,分别在不同的垂直压力p1、p2、p3、p4下进行直接剪切试验,可相应测得破坏时的水平推力T1、T2、T3、T4。

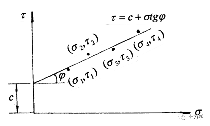
(2)土的抗剪强度:

在σ-τ坐标图上找出上述4个点,通过上述4个点作一条直线,即得该种土的抗剪强度曲线,如下图所示。该直线与τ轴的交点即为内聚力C,倾角即为内摩擦角φ。

(1)应变控制式直剪仪:在试验时,控制下盒的位移速率为定值(即下盒等速前进)、然后测定破坏时的水平推力T。目前我国普遍应用的是应变式直剪仪如图所示。

↑应变式直剪仪
(2)应力控制式直剪仪:在试验过程中,控制剪应力的增加量为定值,分级施加水平剪力于剪力盒使土样受剪,直至剪切破坏。
(1)快剪:竖向压力施加后,立即施加水平剪力进行剪切,而且剪切的速率很快。一般从加荷到剪坏只需3~5min。得到的强度指标用cq、φq表示。
由于剪切速率快,可认为土样地这样短的时间内没有排水固结,试样中始终存在孔隙水压力u,模拟了现场不排水剪切情况。
适用范围:加荷速率快,排水条件差,如斜坡的稳定性、厚度很大的饱和粘土地基等。例如,软土地基上快速堆填路堤,由于加荷速度快,地基土渗透性又低,则这种条件下的强度和稳定问题是处于不能排水条件下的稳定分析问题,采用快剪可模拟这种实际受荷情况。
(2)固结快剪:竖向压力施加后,给以充分的时间使土样排水固结。固结终了后再施加水平剪力,快速地(约在3~5mm内)把土样剪坏,即在剪切时模拟不排水条件。得到的指标用ccq、φcq表示。
适用范围:一般建筑物地基的稳定性,施工期间具有一定的固结作用。
(3)慢剪:竖向压力施加后,先让土样排水固结,使孔隙水压力完全消散。固结后以慢速施加水平剪力,使土样在受剪过程中有充分时间排水,即试样中的孔隙水压力u=0,直至土试样剪坏。得到的指标用cs、φs表示。
适用范围:加荷速率慢,排水条件好,施工期长,如透水性较好的低塑性土以及再软弱饱和土层上的高填方分层控制填筑等等。
由上述三种试验方法可知,即使在同一垂直压力作用下,由于试验时的排水条件不同,作用在受剪面积上的有效应力也不同,所以测得的抗剪强度指标也不同。在一般情况下,φs>φcq>φq。应根据工程实际情况,选择较为接近实际工程情况的试验方法。
上述试验分类对粘性土是有意义的,但效果要视土的渗透性大小而定。对于非粘性土,由于土的渗透性很大,即使快剪也会产生排水固结,所以常只采用一种剪切速率进行排水剪试验。
(1)物理意义:土的剪应力~剪应变关系可分为两种类型:一种是曲线平缓上升,没有中间峰值,如松砂;另一种剪应力~剪应变曲线有明显的中间峰值,在超越峰值后,剪应变不断增大,但抗剪强度确下降,如密砂。在粘性土中,坚硬的、超压密的粘土的剪应力~剪应变曲线常呈现较大峰值,正常压密土或软粘土则不出现峰值,或有很小的峰值。

超过峰值后,当剪应变相当大时,抗剪强度不再变,此时稳定的最小抗剪强度,称为土的残余抗剪强度;而峰值剪应力则称为峰值强度。

在进行滑坡的稳定性计算或抗滑计算时,土的抗剪强度的取值,一般需要考虑土的残余抗剪强度。
一般采用排水反复直接剪切试验,剪切速率应低于0.02mm/min。

优点:构造简单,操作方便;一般性的室内试验多采用这种仪器。
(1)剪切破坏面限定在上、下盒之间的水平面上,该面不一定是土样抗剪强度最弱的面。
(2)剪切面上剪应力分布不均匀,土样的剪切破坏先从边缘开始,在边缘也产生应力集中;
(3)在剪切过程中,土样抗剪面积逐渐缩小,而计算土样抗剪强度时,却是按土样原截面积计算的;
内容源于网络,如有侵权,请联系删除
相关资料推荐:
直接剪切型锚栓群锚剪切性能试验研究
知识点:直接剪切试验
全部回复(0 )
只看楼主 我来说两句抢沙发