




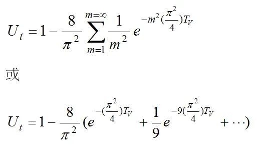
固结时间因数(无量纲)TV,

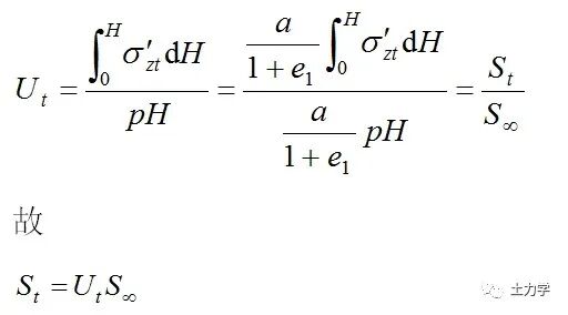
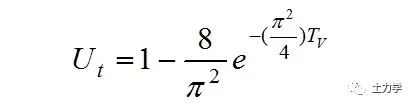
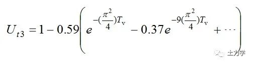
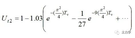
2.Ut和Tv之间的关系


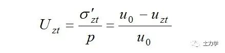
对于起始超静水压力u0沿土层深度为线性变化的情况(图中的情况2和3),



可利用表查相应于不同固结度的Tv值。
Ut—Tv对照表↓
固结度Ut(%) |
时间因数Tv |
||
Tv1[曲线①] |
Tv2[曲线②] |
Tv3[曲线③] |
|
0 5 10 15 20 25 30 35 40 45 50 55 60 65 70 75 80 85 90 95 100 |
0 0.002 0.008 0.016 0.031 0.048 0.071 0.096 0.126 0.156 0.197 0.236 0.287 0.336 0.403 0.472 0.567 0.676 0.848 1.120 ∞ |
0 0.024 0.047 0.072 0.100 0.124 0.158 0.188 0.221 0.252 0.294 0.336 0.383 0.440 0.500 0.568 0.665 0.772 0.940 1.268 ∞ |
0 0.001 0.003 0.005 0.009 0.016 0.024 0.036 0.048 0.072 0.092 0.128 0.160 0.216 0.271 0.352 0.440 0.544 0.720 1.016 ∞ |
实际工程中,作用于饱和土层中的起始超静水压力分布要比上面的三种情况复杂,但实用上可以足够准确地把实际上可能遇到的起始超静水压力分布近似地分为五种情况处理(下图)。

从图中可看出,在不同情况下的v值如下:




注:本节内容参考了清华李广信老师主编的土力学教材,表示感谢。
内容源于网络,如有侵权,请联系删除
相关资料推荐:
知识点:地基固结度及地基变形
0人已收藏
0人已打赏
免费3人已点赞
分享
地基基础
返回版块12.11 万条内容 · 716 人订阅
回帖成功
经验值 +10
全部回复(0 )
只看楼主 我来说两句抢沙发