前面学习过地基的
最终沉降量
,是指地基土在建筑荷载作用下达到压缩稳定后的沉降量。然而,在工程实践中,常常需要预估建筑物完工及一段时间后的沉降量,或者估算达到某一沉降所需要的时间,这就要求解决沉降与时间的关系问题,也就是渗流固结理论。本节介绍最基本的固结理论,即一维固结理论。
在有限厚度的饱和土层上面施加无限宽广的均布荷载,这时土中的附加应力沿深度为均匀分布,土层只在与外荷载作用方向相一致的竖直方向发生渗流和变形,这就是一维渗透固结。
实际中这种情况在河流相的沉积物比较常见。如地基中某深度处有厚度不大的可压缩软土层,上下层为透水的砂层;或者底面为不透水的下卧岩层,上为透水的砂层。那么,在地面宽广的均布荷载作用下,可压缩土层中的孔隙水主要沿竖直方向流动,其排水情况类似于室内压缩试验。
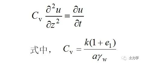
一维渗透固结理论的目的在于求解地基中孔隙水压力随时间和深度的变化。在一定基本假设前提下,建立渗透固结微分方程。然后根据具体的起始条件和边界条件求解土中任意点在任意时刻的u或,进而求得整个土层在任意时刻达到的固结度。
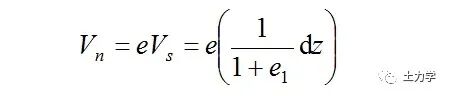
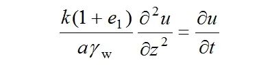
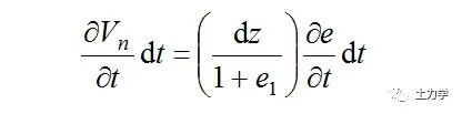
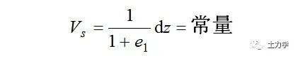
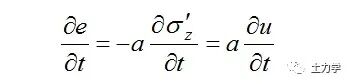
⑤孔隙比的变化与有效应力的变化成正比,即-de/d=a,且压缩系数a保持不变。
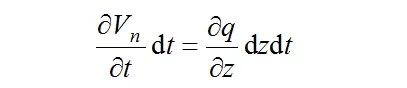
从土层中深度z处取一微元体,如图所示,因为只有竖直方向的固结,水平方向没有固结变形,可设断面积为1×1,厚度则等于dz。



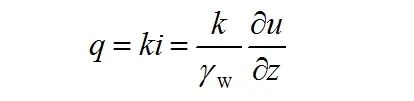
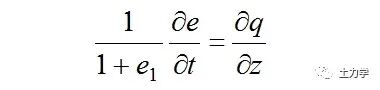
在附加应力作用下,根据微元体的渗流连续条件,压缩定律及达西定律建立微元体的微分方程。
在dt时间内,微元体中孔隙体积的变化(减小)等于同一时间内从微元体中流出的水量,亦即








微分方程式反映的是土中超静孔隙水压力u随时间与深度z的关系,在一定的初始条件和边界条件下,该方程有解析解,可求得任意时刻、任意深度的孔隙水压力值。
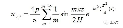
一维渗流固结微分方程,为一抛物线型微分方程,可以根据不同的起始条件和边界条件求得它的特解。考虑到饱和土体的渗流固结过程中,μ,б’的变化与时间t的关系应有 t=0, Uz,t=P;


应用傅立叶级数,可求得满足上述边界条件的解答如下:


H——排水最长距离(cm),当土层为单面排水时,H等于土层厚度;当土层上下双面排水时,H采用一半土层厚度;

式中,Cv为土层的固结系数(cm2/年),t为固结历时(年)。
根据上面表达式,可以绘制不同t值时土层中的超静孔隙水压力分布曲线(u-z曲线)。从u-z曲线随t(或Tv)的变化可看出渗流固结过程的进展情况。u-z曲线上某点的切线斜率反映该点处的水力梯度和水流方向。
内容源于网络,如有侵权,请联系删除
相关资料推荐:
知识点:一维固结理论
全部回复(0 )
只看楼主 我来说两句抢沙发