土是一个分散体系,由土颗粒组成土的骨架,土颗粒所包围的空间形成土的孔隙。对饱和土而言,土孔隙中充满水。当地基受外力作用时,土骨架和孔隙水分别受力,形成两个独立的受力体系。两个力系各自保持平衡但又互相联系,主要表现在其对应力的分担和互相传递。土的体积变形依据于孔隙体积的压缩,而土的抗剪强度取决于颗粒间的连接情况,其本质是土的变形与强度取决于颗粒之间传递应力的大小。
有两个完全相同的量筒,如下图所示,并在这两个量筒的底部分别放置一层性质完全相同的松散砂土。

在甲量筒松砂顶面加若干钢球,使松砂承受σ的压力,此时可见松砂顶面下降,表明松砂发生压缩,亦即砂土的孔隙比e减小。
乙量筒松砂顶面不加钢球,而是小心缓慢地注水,在砂面以上高h处正好使砂层表面也增加σ的压力,结果发现砂层顶面并不下降,表明砂土未发生压缩,亦即砂土的孔隙比e不变。这种情况类似于在量筒内放一块饱水的棉花,无论向量筒内倒多少水也不能使棉花发生压缩一样。
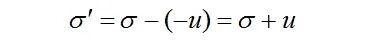
上述甲、乙两个量筒底部松砂都作用了σ的压力,但产生了两种不同的效果,反映出土体中存在两种不同性质的应力:①由钢球施加的应力,通过砂土的骨架传递,这种骨架应力称为有效应力,用σ’来表示;②由水施加的应力通过孔隙中水来传递称为孔隙水压力,用u来表示。这种孔隙水压力不能使土层发生压缩变形。如果土体中的孔隙是互相连通而又充满着水,则孔隙中的水服从于静水压力分布规律。由于孔隙水在土体中一点各方向产生的压力相等,它只能压缩土颗粒本身但不能使土粒产生位移,而土粒本身的压缩量是可以忽略的。这种不能直接引起土体变形和强度变化的孔隙水压力,又称中性应力。
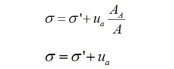
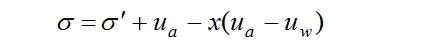
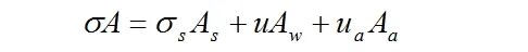
在土体中某点截取一水平截面,其面积为A,截面上作用应力σ,为总应力。

a-a截面是沿着土颗粒间接触面截取的曲线状截面,在此截面上,土颗粒接触面间作用的法向应力为σs,各土颗粒之间接触面积之和为As;孔隙内的水压力为u,面积为Aw;气体压力为ua,其相应的面积为Aa。



由于颗粒间的接触面积As很小,根据毕肖普(Bishop)及伊尔定(Eldin)等人的研究结果,一般As/A≤0.03。因此,1-As/A≈1。故上式变为

上式中的σsAs是土颗粒间的接触压力,σsAs/A是土颗粒之间接触压力的平均值,即为有效应力σ’,则上式变为

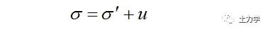
上式即为有效应力原理,它说明饱和土体承受的总应力为有效应力σ’和孔隙水压力u之和。
有效应力公式的形式很简单,却具有重要的工程应用价值。当已知土体中某一点所受的总应力,并测得该点的孔隙水压力时,就可以利用上式计算出该点的有效应力σ’。
有效应力在土力学中是一个最有实际意义的量,它将引起土颗粒的位移,使孔隙体积缩小,土体发生压缩变形,同时,有效应力的大小直接影响土的抗剪强度。因此,只有通过有效应力分析,才能准确地确定土工建筑物或建筑地基的变形与安全度。

太沙基(K.Terzaghi)早在1923年就提出了有效应力原理的基本概念,阐明了碎散颗粒材料与连续固体材料在应力——应变关系上的重大区别。有效应力原理是土力学区别于一般固体力学的一个最重要的原理,它贯穿于土力学的整个学科,是使土力学成为一门独立学科的重要标志。90多年来,土力学的许多重大进展都是与有效应力原理的推广和应用相联系的。
参见土力学发展简史
迄今为止,国内外均公认有效应力原理可毫无疑问地应用于饱和土;而对于非饱和土,应用还有许多问题尚待研究。
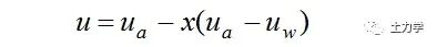
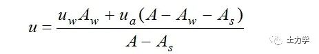
对非饱和土体,孔隙中存在有封闭的气泡和与大气连通的气体,水在孔隙中是不连续的,如图所示。这时土的孔隙压力孔隙水压力uw和孔隙气压力ua之和。

设水平断面B-B处,面积为A。其中土颗粒接触点所占面积为As,孔隙水所占面积为Aw,孔隙气体所占面积为(A-Aw-As)考虑B-B断面竖向力的平衡可知,上述的有效应力表达式右端第一项为全部竖直向粒间作用力之和除以横断面积A,它代表全面积A上的平均竖直向粒间应力,即

式中第二项孔隙压力u由孔隙水压力uw和孔隙气体压力ua所组成,则
由于颗粒接触点面积As不超过0.03A,故在计算孔隙压力时As可忽略不计。令x=Aw/A,整理上式得


上式称为有效应力原理的完整表达式,式中x是一个与饱和度有关的参
数。
AA=0,AW≈A,即x=1,孔隙水压力为u表示,则公式可改写为:

上式即为饱和土有效应力原理得表达式。
∵AW≈0,x=0,AA≈A,可改写为:

上式为干土有效应力原理的表达式
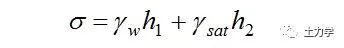
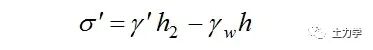
图为处于水下的饱和土层,在地面下h2深处的A点,由于土体自重对地面以下A点处作用的垂向总应力为



根据有效应力原理,由于土体自重对A点作用的有效应力应为

上式说明,浸在静水面以下的土层,由于土自重引起的有效应力,等于该点以上单位面积土柱的有效重量,即浮重度与土层深度之积,而与地面以上水位的高低无关,亦即h1的变化不会引起土体的压缩或膨胀。此处孔隙水压力,为该点以上单位面积静水压力。土体的
自重应力
计算,即以此原理为理论基础。
3.毛细水上升时土中有效应力
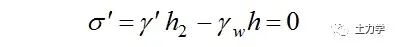
当地下水位以上某个高度hc范围内出现毛细饱和区时,毛细区内的水呈张拉状态,故孔隙水压力是负值。毛细水压力分布规律与静水压力分布相同,任一点的uc=-γwz,z为该点至地下水位(自由水面)之间的垂直距离,离开地下水位越高,毛细负孔压绝对值越大,在饱和区最高处uc=-γwhc,至地下水位处uc=0,其孔隙水压力分布如图所示。由于u是负值,按照有效应力原理,毛细饱和区的有效应力σ’将会比总应力增大,即

从上述计算结果可以看出,在毛细水上升区。由于表面张力的作用使孔隙水压力为负值,这就使土的有效应力增加;在地下水位以下,由于土颗粒的浮力作用,使土的有效应力减小。
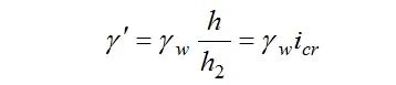
当地下水在土体中渗流时,对土颗粒将产生动水力,这就必然影响土中有效应力的分布。

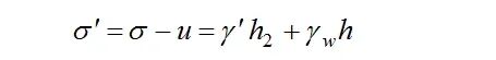
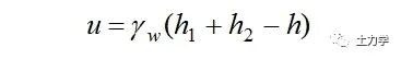
如在图的土层中,由于水头差而发生自上而下的渗流时,其土层表面以上的水柱仍为h1,由在土层以下h2深度处a-a断面上的总应力,应为该点以上单位面积土柱和水柱的重量,即

在深度h2处由于自上而下的渗流,其孔隙水压力将因水头损失而减小,若在h2土层中渗流时的水头损失为h,则在a-a断面上的孔隙水压力将为



↑向下渗流时的孔隙水压力及有效应力
可以看出,朝下渗流将使有效应力增加,这是抽吸地下水引起地面沉降的原因之一。因为抽水使地下水位下降,就会在土层中产生向下的渗流,从而使增加,导致土层产生压密变形,故这种朝下渗流产生的压密作用称为渗流压密。

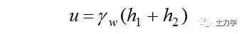
如下图,当水头差发生自下而上的
渗流时,h2土层以上的水位相同,则在h2深度处a-a断面上的总应力仍为


有效应力相应减小为


由此可见,当有
渗流
作用时,其孔隙水压力及有效应力均与静水作用情况不同。在渗流产生的渗透力的作用下,其有效应力与渗流作用的方向有关。当自上而下渗流时,将使有效应力增加,因而对土体的稳定性有利。反之,若向上渗流则有效应力减小,对土体的稳定性不利。如果在上图中向上渗流的水头差h不断增大,直至a-a断面上的孔隙水压力等于该面上的总应力时,则有效应力将减小为零。即


当a-a面的水力坡降i>icr时,即发生流砂和管涌现象,造成地基或边坡的失稳。此即为用有效应力原理来解释渗透变形的实质。
在外荷作用下,土体中各点产生的应力增量,称为
附加应力
。对饱和土,土体中任一点的附加应力是由粒间接触点的有效应力和孔隙水压力承担。由附加应力作用而引起的孔隙水压力超出静水压力水头,称为超静孔隙水压力。
如果地面上作用着大面积连续均布荷载,而土层厚度又相对较薄时,则土层中引起的附加应力σz属于侧限应力状态。这时,外荷P在土层中引起的附加应力σz将沿深度均匀分布,即σz=P。显然,这种应力条件下土体在侧向上不能发生变形。

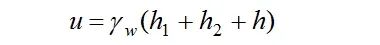
为了模拟饱和土体受到连续均布荷载作用后,在土中所产生的孔隙水压力u与σ’随时间t的变化规律,1925年太沙基最早提出了一个渗压模型。该模型是由盛满水的钢筒①,带有排水孔的活塞②以及支承活塞的弹簧③所组成,如图所示。钢筒象征侧限条件,弹簧模拟当成弹性体的土骨架,筒中水模拟骨架四周的孔隙水,活塞上的小孔则代表土的渗透性,用以模拟排水条件。
当活塞板上未加荷载时,钢筒一侧的测压管中水位将与筒中静水位齐平。这时,代表土体受外荷载前的情况,土中各点的孔隙水压力值完全由静水压力确定,而且由于任何深度处总水头都相等,土中没有渗流发生。

当活塞板上刚加上外荷载的瞬间(t=0),容器内的水来不及排出,相当于活塞上小孔被堵死的不排水状态。水是不可压缩的流体,故模型内体积变化ΔV=0,活塞不能向下移动,弹簧不受力,外荷载全部由水所承担,
测压管中水位将升高h。它代表这时土中引起高于静水位的初始超静水压力,u0=σ=γwh,而作用于土骨架上的有效应力σ’=0。
当t>0后,由于活塞上下有水头差h,导致渗流发生。水从活塞小孔中不断排出,活塞向下移动,代表土骨架的弹簧逐渐受力,与此同时,容器内水压力逐渐减小,测压管水位逐渐降低,说明水所承担的压力逐渐减小,而弹簧承担了水所减少的那部分压力,
即σ=σ’+u
。这一过程持续发展,饱和土体中的超静水压力逐渐消散,转移到土骨架
上,骨架的有效应力逐渐增加,孔隙水压力的减小值等于有效应力的增加值。
最后,测压管水位又降至与容器内静水位齐平时,全部外荷载都转移给弹簧承担,活塞稳定到某一位置,渗流停止。土中水的超静水压力u=0,而土骨架的有效应
力σ’=σ
,土体的渗流固结过程结束。
(1)整个渗流固结过程中u和σ’都是随时间t而不断变化着的,即u=f(t),σ’=f(t)。渗流固结过程就是土中两种不同应力形态的转化过程。
(2)这里的u是指超静水压力,所谓超静水压力,是外荷载引起的,超出静水位以上的那部分孔隙水压力。它在固结过程中随时间不断变化,固结终了时应等于零。饱水土层中任意时刻的总孔隙水压力应是静孔隙水压力与超静孔隙水压力之和。
内容源于网络,如有侵权,请联系删除
相关资料推荐:
土的微观结构以及有效应力原理的深入讨论
知识点:有效应力原理
全部回复(0 )
只看楼主 我来说两句抢沙发