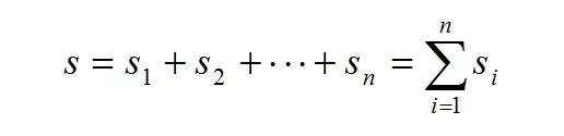
实际工程所遇到的地基土层一般都是成层的,每层土的压缩特性各不相同,且压缩模量随深度而变化。因此,在计算地基最终沉降量时,应分别予以对待。分层总和法是将地基土层分为若干薄层,计算出各薄层的竖向变形量,再求其和得总变形量,即


(1)假设地基土为均质的、连续的、各向同性的半无限空间弹性体,这样可以采用弹性理论计算地基中的竖向附加应力
。
(2)使用基础中心点下所受的有效竖向附加应力计算基础的最终沉降量。
(3)在建筑物荷载作用下,地基土只产生竖向变形,不产生侧向变形,即地基土的变形条件假定为完全侧限条件。
(4)因竖向附加应力随深度而减小,沉降计算至某一规定深度停止。
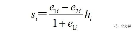
在基础中心点下第层土中取一小土柱,分析其在修建建筑物前后的变化,如下图所示。

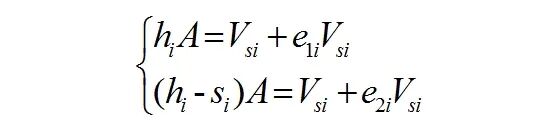
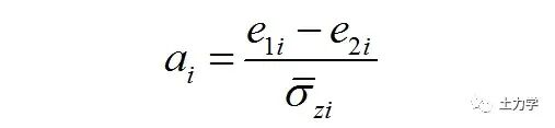
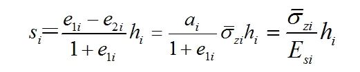
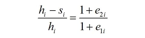
在施加外荷载之前,小土柱原始高度为hi,横截面面积为A,其上所受应力为自重应力平均值(因土柱上下所受自重应力值不一样,取平均值),相应的天然孔隙比为e1i。在施加荷载后,其上所受应力为自重应力与附加应力(外荷载产生)之和,相应的最终孔隙比为e2i,变形稳定后小土柱高度变为hi-si,按假设横截面面积仍为A,其薄层压缩量为si。则有








各层土的压缩量计算出来后,求和便可计算出地基的最终沉降量。
分层总和法计算步骤
(1)按比例绘制地基土层分布剖面图和基础剖面图,如图所示。计算地基土的有效竖向自重应力,并画出其沿深度的分布曲线,该曲线要按力的比例尺绘于基础中心线的左侧。土的有效竖向自重应力应从天然地面起算。

(2)地基剖面人为分层。一般规定每层厚度不应超过0.4b(b为基础宽度),同时还应注意以下几点:
③基底附近竖向附加应力数值变化大,分层厚度应小些。
(3)计算基底附加压力,按分层情况计算地基中有效竖向
附加应力
,并按同一比例尺绘于基础中心线的右侧。
①当下卧岩层离基底较近时,取岩层顶面作为可压缩层下限;
②一般情况下,根据某处的附加应力与自重应力的比值来确定的。对于一般土这个比值取为0.2;当该处为软弱土层或其下存在高压缩性土层时,则可取为0.1。
(5)
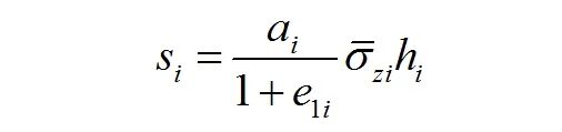
根据上述薄层压缩量的计算方法,计算各土
层的压缩量si


概念明确,适用于各种成层土和各种荷载的沉降量计算;压缩指标a,Es等易确定,计算过程比较方便,易于掌握。
①分层总和法采用弹性理论计算地基中的竖向附加应力,用室内侧限压缩试验得到的曲线求变形,这与地基的实际受力和变形情况有较大出入。
②对于压缩性指标,如不用e-p曲线,而采用a,Es计算沉降,会引入更大的误差。
③压缩层下限的确定方法没有严格的理论根据,是半经验的方法。研究表明,上述确定压缩层下限的方法,会给计算结果带来10%左右的误差。利用该法计算结果,对坚实地基,其结果偏大,对软弱地基,其结果偏小。
④未能考虑细颗粒土体固结变形完成后,由于土骨架的蠕变变形所引起的沉降(称为次固结沉降)。
内容源于网络,如有侵权,请联系删除
相关资料推荐:
知识点:分层总和法计算沉降量
全部回复(0 )
只看楼主 我来说两句抢沙发