固结试验简介
固结试验,亦称压缩试验,其主要目的是,了解土的孔隙比随压力变化的规律,并测定土的压缩指标,评定土的压缩性大小。
压缩仪的构造如图所示。由于土样受到环刀和护环等刚性护壁的约束,在压缩过程中只能发生垂向压缩,不可能发生侧向膨胀,所以又叫侧限压缩试验。
压缩试验时,先用金属环刀(内径61.8mm和79.8mm,高20mm)切取原状土样,放入上下有透水石的压缩仪内,分级加载。在每组荷载作用下(一般按p=50、100、200、300、400kPa加载),压至变形稳定,可以通过百分表测量出土样的高度变化S测出土样的变形量,然后再加下一级荷载。
在一般工程中,常遇到的压力100~600kPa。土粒的体积变化不及全部土体积变化的1/400,因此,土的全部压缩量可认为是由于土的孔隙体积缩小引起的。因此,可以用孔隙比与所受压力的关系曲线说明土的压缩过程。
可以根据每级荷载下的稳定变形量算出相应压力下的孔隙比。
设土样原始高度为H0,土样的横截面面积为A,土样的原始孔隙比e0,土颗粒体积Vs,土样压缩后孔隙比为e1,土的压缩量为s1,压缩后土样高度H1=H0-s1。
利用压缩前后土粒体积不变和土样截面面积不变两个条件,可求土样压缩稳定后孔隙比e1:
根据某级荷载下的变形量si,按式求得相应的孔隙比ei,然后以压力p为横坐标,孔隙比e为纵坐标,可绘出e-p关系曲线和e-lgp关系曲线,此曲线称为压缩曲线。
从压缩曲线的形状可以看出,压力较小时曲线较陡,随压力逐渐增加,曲线逐渐变缓,这说明土在压力增量不变情况下进行压缩时,其压缩变形的增量是递减的。这是因为在侧限条件下进行压缩时,开始加压时接触不稳定的土粒首先发生位移,孔隙体积减小得很快,因而曲线的斜率比较大。随着压力的增加,进一步的压缩主要是孔隙中水与气体的挤出,当水与气体不再被挤出时,土的压缩就逐渐停止,曲线逐渐趋于平缓。
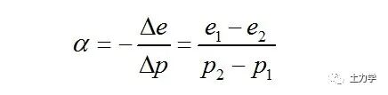
由e-p曲线可知,土在完全侧限条件下,孔隙比e随压力p的增加而减小,当压力由p1至P2的压力变化范围不大时,可将压缩曲线上相应的曲线段M1M2近似地用直线来代替。若M1点的压力为p1,相应的孔隙比为e1;M2点的压力p2,相应的孔隙比为e2,则M1M2段的斜率可用下式表示:
式中
α—压缩系数(MPa-1);
p1—加压前试样压缩稳定的荷载强度,一般指土中原有的竖向自重应力(kPa);
p2—加压后试样压缩稳定的荷载强度,一般为土的自重应力与附加应力之和(kPa);
e1、e2 —分别为压缩前后在p1、p2作用下压缩稳定时的孔隙比。
压缩系数
是表示土的压缩性大小的主要指标,其值越大,表明在某压力变化范围内孔隙比减少得越多,压缩性就越高。
但由图中可以看出,同一种土的压缩系数并不是常数,而是随所取压力变化范围的不同而改变。因此,评价不同类型和状态土的压缩性大小时,必须以同一压力变化范围来比较。为了应用和计算的方便,在《建筑地基基础设计规范》中规定,以p1=0.1MPa,p2=0.2MPa时相应的压缩系数a1-2作为判断土的压缩性的标准:
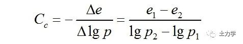
压缩试验资料中,如果以孔隙比e为纵坐标,以压力的对数lgp为横坐标,绘制e-lgp曲线。该曲线后半段在很大范围内是一条直线,将直线段的斜率定义为土的压缩指数Cc,表达式为:
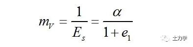
压缩模量ES
压缩试验除了求得压缩系数a和压缩指数Cc外,还可求得另一个常用的压缩性指标—压缩模量Es (单位为MPa或kPa),Es是指土在侧限条件下受压时压应力σz与相应的应变εz之间的比值,即:
式中a为压力从p1增加至p2时的压缩系数;e1为压力p1时对应的孔隙比。
同压缩系数一样,土的压缩模量随所取的压力范围不同而变化。工程上常用从p1=100kPa至p2=200kPa压力范围内的压缩模量Es1-2来判断土的压缩性。
土的压缩模量也是表征土的压缩性高低的一个指标。由上式可知,Es与a成反比,即a越大,Es越小,土的压缩性越高。工程上常采用Es1-2作为判别土的压缩性高低的标准:
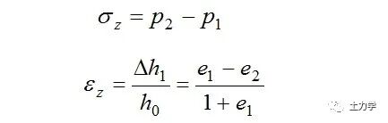
土体在完全侧限条件下,竖向(体积)应变与竖向附加应力之比。
上面的侧限压缩试验中,现在如果加压到某一值(相应于下图曲线上的b点)后不再加压,而是逐级进行卸载直至为零,并且测得各卸载等级下土样回弹稳定后土样高度,进而换算得到相应的孔隙比,即可绘制出卸载阶段的关系曲线,如图中bc曲线所示,称为回弹曲线(或膨胀曲线)。
可以看到,回弹曲线不和初始加载的曲线ab重合,卸载至零时,土样的孔隙比没有恢复到初始压力为零时的孔隙比。这就表明土在荷载作用下残留了一部分压缩变形,称之为残余变形(或塑性变形),但也恢复了一部分压缩变形,称之为弹性变形。
若接着重新逐级加压,则可测得土样在各级荷载作用下再压缩稳定后的土样高度,换算成孔隙比后可绘制出再压缩曲线,如上图中的cdf曲线。可以发现,再压缩曲线的df段是ab段的延续,但再压缩曲线与回弹曲线不重合,也不通过原卸载点b。
对于对数直角坐标系的曲线,也有类似的过程,如图所示。卸载曲线和再压缩曲线的平均斜率(图中虚线的斜率)称为回弹指数或再压缩指数,用Ce表示。一般情况下


内容源于网络,如有侵权,请联系删除
相关资料推荐:
知识点:固结试验及压缩性指标
全部回复(1 )
只看楼主 我来说两句 抢板凳看一下。。了解下这方面的内容
回复 举报