

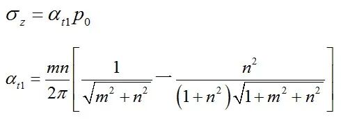
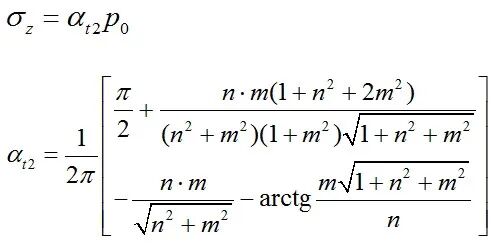
矩形面积上三角形分布荷载作用下的附加应力系数↓
| Z/B |
L/B |
|||
0.2 |
0.4 |
|||
1 |
2 |
1 |
2 |
|
0.0 0.2 0.4 0.6 0.8 1.0 1.2 1.4 1.6 1.8 2.0 2.5 3.0 5.0 7.0 10.0 |
0.0000 0.0223 0.0269 0.0259 0.0232 0.0201 0.0171 0.0145 0.0123 0.0105 0.0090 0.0063 0.0046 0.0018 0.0009 0.0005 |
0.2500 0.1821 0.1094 0.0700 0.0480 0.0346 0.0260 0.0202 0.0160 0.0130 0.0108 0.0072 0.0051 0.0019 0.0010 0.0004 |
0.0000 0.0280 0.0420 0.0448 0.0421 0.0375 0.0324 0.0278 0.0238 0.0204 0.0176 0.0125 0.0092 0.0036 0.0019 0.0009 |
0.2500 0.2115 0.1604 0.1165 0.0853 0.0638 0.0491 0.0386 0.0310 0.0254 0.0211 0.0140 0.0100 0.0038 0.0019 0.0010 |
Z/B |
L/B |
|||
0.6 |
0.8 |
|||
1 |
2 |
1 |
2 |
|
0.0 0.2 0.4 0.6 0.8 1.0 1.2 1.4 1.6 1.8 2.0 2.5 3.0 5.0 7.0 10.0 |
0.0000 0.0296 0.0487 0.0560 0.0553 0.0508 0.0450 0.0392 0.0339 0.0294 0.0255 0.0183 0.0135 0.0054 0.0028 0.0014 |
0.2500 0.2165 0.1781 0.1405 0.1093 0.0805 0.0673 0.0540 0.0440 0.0363 0.0304 0.0205 0.0148 0.0056 0.0029 0.0014 |
0.0000 0.0301 0.0517 0.0621 0.0637 0.0602 0.0546 0.0483 0.0424 0.0371 0.0324 0.0236 0.0176 0.0071 0.0038 0.0019 |
0.2500 0.2178 0.1844 0.1520 0.1232 0.0996 0.0807 0.0661 0.0547 0.0457 0.0387 0.0265 0.0192 0.0074 0.0038 0.0019 |
Z/B |
L/B |
|||
1.0 |
1.2 |
|||
1 |
2 |
1 |
2 |
|
0.0 0.2 0.4 0.6 0.8 1.0 1.2 1.4 1.6 1.8 2.0 2.5 3.0 5.0 7.0 10.0 |
0.0000 0.0304 0.0531 0.0654 0.0688 0.0666 0.0615 0.0554 0.0492 0.0435 0.0384 0.0284 0.0214 0.0088 0.0047 0.0023 |
0.2500 0.2182 0.1870 0.1575 0.1311 0.1086 0.0901 0.0751 0.0628 0.0534 0.0456 0.0318 0.0233 0.0091 0.0047 0.0024 |
0.0000 0.0305 0.0539 0.0673 0.0720 0.0708 0.0664 0.0606 0.0545 0.0487 0.0434 0.0326 0.0249 0.0104 0.0056 0.0028 |
0.2500 0.2184 0.1881 0.1602 0.1355 0.1143 0.0962 0.0817 0.0696 0.0596 0.0513 0.0365 0.0270 0.0108 0.0056 0.0028 |
Z/B |
L/B |
|||
1.4 |
1.6 |
|||
1 |
2 |
1 |
2 |
|
0.0 0.2 0.4 0.6 0.8 1.0 1.2 1.4 1.6 1.8 2.0 2.5 3.0 5.0 7.0 10.0 |
0.0000 0.0305 0.0543 0.0684 0.0739 0.0735 0.0698 0.0644 0.0586 0.0528 0.0474 0.0362 0.0280 0.0120 0.0064 0.0033 |
0.2500 0.2185 0.1886 0.1616 0.1381 0.1176 0.1007 0.0864 0.0743 0.0644 0.0560 0.0405 0.0303 0.0123 0.0066 0.0032 |
0.0000 0.0306 0.0545 0.0690 0.0751 0.0753 0.0721 0.0672 0.0616 0.0560 0.0507 0.0393 0.0307 0.0135 0.0073 0.0037 |
0.2500 0.2185 0.1889 0.1625 0.1396 0.1202 0.1037 0.0897 0.0780 0.0681 0.0596 0.0440 0.0333 0.0139 0.0074 0.0037 |
Z/B |
L/B |
|||
1.8 |
2.0 |
|||
1 |
2 |
1 |
2 |
|
0.0 0.2 0.4 0.6 0.8 1.0 1.2 1.4 1.6 1.8 2.0 2.5 3.0 5.0 7.0 10.0 |
0.0000 0.0306 0.0546 0.0694 0.0759 0.0766 0.0738 0.0692 0.0639 0.0585 0.0533 0.0419 0.0331 0.0148 0.0081 0.0041 |
0.2500 0.2185 0.1891 0.1630 0.1405 0.1215 0.1055 0.0921 0.0806 0.0709 0.0625 0.0469 0.0359 0.0154 0.0083 0.0042 |
0.0000 0.0306 0.0547 0.0696 0.0764 0.0774 0.0749 0.0707 0.0656 0.0604 0.0553 0.0440 0.0352 0.0161 0.0089 0.0046 |
0.2500 0.2185 0.1892 0.1633 0.1412 0.1225 0.1069 0.0937 0.0826 0.0730 0.0649 0.0491 0.0380 0.0167 0.0091 0.0046 |
Z/B |
L/B |
|||
3.0 |
4.0 |
|||
1 |
2 |
1 |
2 |
|
0.0 0.2 0.4 0.6 0.8 1.0 1.2 1.4 1.6 1.8 2.0 2.5 3.0 5.0 7.0 10.0 |
0.0000 0.0306 0.0548 0.0701 0.0773 0.0790 0.0774 0.0739 0.0697 0.0652 0.0607 0.0504 0.0419 0.0214 0.0124 0.0066 |
0.2500 0.2186 0.1894 0.1638 0.1423 0.1244 0.1096 0.0973 0.0870 0.0782 0.0707 0.0559 0.0451 0.0221 0.0126 0.0066 |
0.0000 0.0306 0.0549 0.0702 0.0776 0.0794 0.0779 0.0748 0.0708 0.0666 0.0624 0.0529 0.0449 0.0248 0.0152 0.0084 |
0.2500 0.2186 0.1894 0.1639 0.1424 0.1248 0.1103 0.0986 0.0882 0.0797 0.0726 0.0585 0.0482 0.0256 0.0154 0.0083 |
Z/B |
L/B |
|||
6.0 |
8.0 |
|||
1 |
2 |
1 |
2 |
|
0.0 0.2 0.4 0.6 0.8 1.0 1.2 1.4 1.6 1.8 2.0 2.5 3.0 5.0 7.0 10.0 |
0.0000 0.0306 0.0549 0.0702 0.0776 0.0795 0.0782 0.0752 0.0714 0.0673 0.0634 0.0543 0.0469 0.0253 0.0186 0.0111 |
0.2500 0.2186 0.1894 0.1640 0.1426 0.1250 0.1105 0.0986 0.0887 0.0805 0.0734 0.0601 0.0504 0.0290 0.0190 0.0111 |
0.0000 0.0306 0.0549 0.0702 0.0776 0.0796 0.0783 0.0752 0.0715 0.0675 0.0636 0.0547 0.0474 0.0296 0.0204 0.0123 |
0.2500 0.2186 0.1894 0.1640 0.1426 0.1250 0.1105 0.0987 0.0888 0.0806 0.0736 0.0604 0.0509 0.0303 0.0207 0.0130 |
Z/B |
L/B |
|
10.0 |
||
1 |
2 |
|
0.0 0.2 0.4 0.6 0.8 1.0 1.2 1.4 1.6 1.8 2.0 2.5 3.0 5.0 7.0 10.0 |
0.0000 0.0306 0.0549 0.0702 0.0776 0.0796 0.0783 0.0753 0.0715 0.0675 0.0636 0.0548 0.0476 0.0301 0.0212 0.0139 |
0.2500 0.2186 0.1894 0.1640 0.1426 0.1250 0.1105 0.0987 0.0889 0.0808 0.0738 0.0605 0.0511 0.0309 0.0216 0.0141 |
内容源于网络,如有侵权,请联系删除
相关资料推荐:
倒三角形荷载作用下框剪结构中剪力墙的合理数量
知识点:矩形三角分布荷载作用时的地基附加应力
0人已收藏
0人已打赏
免费7人已点赞
分享
地基基础
返回版块12.11 万条内容 · 717 人订阅
阅读下一篇
矩形均布荷载作用时的地基附加应力地基表面有一矩形面积,宽度为B,长度为L,其上作用着竖直均布荷载,荷载强度为P,求地基内各点的竖向附加应力。这类问题的求解方法是:先求出矩形面积角点下的附加应力,再利用“角点法”求出任意点下的附加应力。 ↑矩形面积均布荷载作用时角点下点的附加应力 角点下的附加应力 角点下的附加应力是指图中O、A、C、D四个角点下任意深度处的附加应力。只要深度z一样,则四个角点下的竖向附加应力都相同。将坐标的原点取在角点
回帖成功
经验值 +10
全部回复(1 )
只看楼主 我来说两句 抢板凳看一下。。了解下这方面的内容
回复 举报