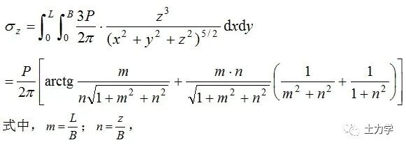
地基表面有一矩形面积,宽度为B,长度为L,其上作用着竖直均布荷载,荷载强度为P,求地基内各点的竖向附加应力。这类问题的求解方法是:先求出矩形面积角点下的附加应力,再利用“角点法”求出任意点下的附加应力。
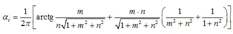
矩形面积受竖直均布荷载作用时角点下的应力系数αc↓
n=z/B |
m=L/B |
|||
1.0 |
1.2 |
1.4 |
1.6 |
|
0.0 0.2 0.4 0.6 0.8 1.0 1.2 1.4 1.6 1.8 2.0 2.2 2.4 2.6 2.8 3.0 3.2 3.4 3.6 3.8 4.0 4.2 4.4 4.6 4.8 5.0 6.0 7.0 8.0 9.0 10.0 12.0 14.0 16.0 18.0 20.0 25.0 30.0 36.0 40.0 |
0.250 0.249 0.240 0.223 0.200 0.175 0.152 0.131 0.112 0.097 0.084 0.073 0.064 0.057 0.050 0.045 0.040 0.036 0.033 0.030 0.027 0.025 0.023 0.021 0.019 0.018 0.013 0.009 0.007 0.006 0.005 0.003 0.002 0.002 0.001 0.00l 0.001 0.001 0.000 0.000 |
0.250 0.249 0.242 0.228 0.207 0.185 0.163 0.142 0.124 0.108 0.095 0.083 0.073 0.065 0.058 0.052 0.047 0.042 0.038 0.035 0.032 0.029 0.027 0.025 0.023 0.021 0.015 0.011 0.009 0.007 0.006 0.004 0.003 0.002 0.002 0.001 0.001 0.001 0.000 0.000 |
0.250 0.249 0.243 0.230 0.212 0.191 0.171 0.151 0.133 0.117 0.103 0.092 0.081 0.072 0.065 0.058 0.053 0.048 0.043 0.040 0.036 0.033 0.031 0.028 0.026 0.024 0.017 0.013 0.010 0.008 0.007 0.005 0.004 0.003 0.002 0.002 0.001 0.001 0.001 0.000 |
0.250 0.249 0.243 0.232 0.215 0.195 0.176 0.157 0.l 40 0.124 0.110 0.098 0.088 0.079 0.071 0.064 0.058 0.053 0.048 0.040 0040 0.037 0.034 0.032 0.029 0.027 0.020 0.0l 5 0.01l 0.009 0.007 0.005 0.004 0.003 0.002 0.002 0.001 0.001 0.00l 0.000 |
n=z/B |
m=L/B |
|||
1.8 |
2.0 |
3.0 |
4.0 |
|
0.0 0.2 0.4 0.6 0.8 1.0 1.2 1.4 1.6 1.8 2.0 2.2 2.4 2.6 2.8 3.0 3.2 3.4 3.6 3.8 4.0 4.2 4.4 4.6 4.8 5.0 6.0 7.0 8.0 9.0 10.0 12.0 14.0 16.0 18.0 20.0 25.0 30.0 36.0 40.0 |
0.250 0.249 0.244 0.232 0.216 0.198 0.179 0.161 0.145 0.129 0.116 0.104 0.093 0.084 0.076 0.069 0.063 0.057 0.052 0.048 0.044 0.041 0.038 0.035 0.032 0.030 0.022 0.016 0.013 0.010 0.008 0.006 0.004 0.003 0.003 0.002 0.001 0.001 0.001 0.003 |
0.250 0.249 0.244 0.233 0.218 0.200 0.182 0.164 0.148 0.133 0.120 0.108 0.098 0.089 0.080 0.073 0.067 0.061 0.056 0.052 0.048 0.044 0.041 0.038 0.035 0.033 0.024 0.018 0.014 0.011 0.009 0.008 0.005 0.004 0.003 0.002 0.002 0.001 0.001 0.001 |
0.250 0.249 0.244 0.234 0.220 0.203 0.187 0.171 0.157 0.143 0.131 0.121 0.111 0.102 0.094 0.087 0.081 0.075 0.069 0.065 0.060 0.056 0.053 0.049 0.046 0.043 0.033 0.025 0.020 0.016 0.013 0.009 0.007 0.005 0.004 0.004 0.002 0.002 0.00l 0.001 |
0.250 0.249 0.244 0.234 0.220 0.204 0.188 0.173 0.159 0.146 0.135 0.125 0.116 0.107 0.100 0.093 0.087 0.081 0.076 0.072 0.067 0.063 0.060 0.056 0.053 0.050 0.039 0.031 0.025 0.020 0.017 0.012 0.009 0.007 0.006 0.005 0.003 0.002 0.002 0.001 |
n=z/B |
m=L/B |
|||
5.0 |
6.0 |
10.0 |
条形 |
|
0.0 0.2 0.4 0.6 0.8 1.0 1.2 1.4 1.6 1.8 2.0 2.2 2.4 2.6 2.8 3.0 3.2 3.4 3.6 3.8 4.0 4.2 4.4 4.6 4.8 5.0 6.0 7.0 8.0 9.0 10.0 12.0 14.0 16.0 18.0 20.0 25.0 30.0 36.0 40.0 |
0.250 0.249 0.244 0.234 0.220 0.204 0.189 0.174 0.160 0.147 0.136 0.126 0.118 0.110 0.102 0.096 0.090 0.085 0.080 0.075 0.071 0.067 0.064 0.061 0.058 0.055 0.043 0.035 0.028 0.024 0.020 0.014 0.011 0.009 0.007 0.006 0.004 0.003 0.002 0.001 |
0.250 0.249 0.244 0.234 0.220 0.204 0.189 0.174 0.160 0.148 0.137 0.127 0.118 0. 111 0.104 0.097 0.092 0.086 0.082 0.077 0.073 0.070 0.066 0.063 0.060 0.057 0.046 0.038 0.031 0.026 0.022 0.017 0.013 0.010 0.008 0.007 0.004 0.003 0.002 0. 002 |
0.250 0.249 0.244 0.234 0.220 0.205 0.189 0.174 0.160 0.148. 0.137 0.128 0.119 0.112 0.105 0.099 0.093 0.088 0.084 0.080 0.076 0.072 0.069 0.066 0.064 0.061 0.051 0.043 0.037 0.032 0.028 0.022 0.018 0.014 0.012 0.010 0.007 0.005 0.004 0.003 |
0.250 0. 249 0.244 0.234 0.220 0.205 0.189 0.174 0.160 0.148 0.137 0.128 0.119 0.112 0.105 0.099 0.094 0.089 0.084 0.080 0.076 0.073 0.070 0.067 0.064 0.062 0.052 0.045 0.039 0.035 0.032 0.028 0.023 0.020 0.018 0.016 0.013 0.011 0.009 0.008 |
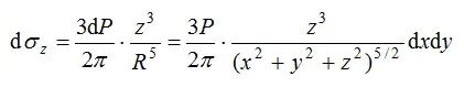
计算点不位于角点下时-使用角点法




↑角点法应用示意图
内容源于网络,如有侵权,请联系删除
相关资料推荐:
知识点:矩形均布荷载作用时的地基附加应力
0人已收藏
0人已打赏
免费3人已点赞
分享
地基基础
返回版块12.11 万条内容 · 716 人订阅
阅读下一篇
竖向集中力作用时的地基附加应力在地基表面作用有竖向集中荷载P时,在地基内任意一点M(r,, z)的应力分量及位移分量由法国数学家布辛奈斯克(J.Boussinesq)在1885年用弹性理论求解得出,它是求解地基中附加应力的基本公式。 ↑竖向集中荷载作用下的应力 由弹性理论求出的直角坐标表达式为:
回帖成功
经验值 +10
全部回复(0 )
只看楼主 我来说两句抢沙发