

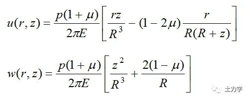
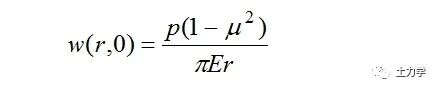
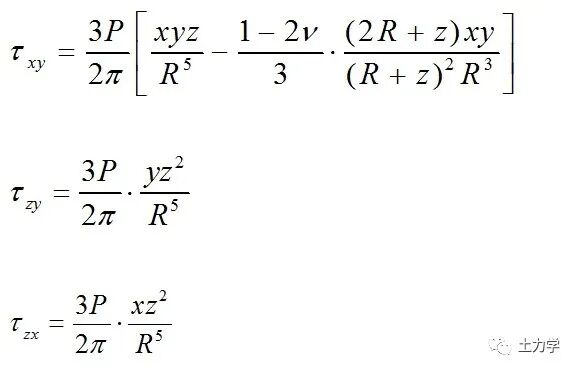
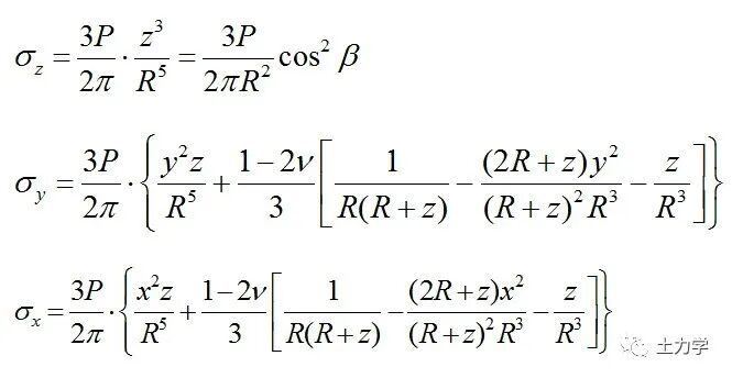
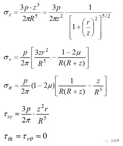
式中:



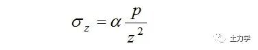
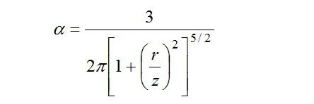
式中α称为集中荷载作用下的地基竖向附加应力系数,简称集中应力系数,其数值可按r/z值由表查得。
集中荷载下竖向附加应力系数↓
r/z |
α |
r/z |
α |
0.00 0.01 0.02 0.03 0.04 0.05 0.06 0.07 0.08 0.09 0.10 0.11 0.12 0.13 0.14 0.15 0.16 0.17 0.18 0.19 0.20 0.21 0.22 0.23 0.24 0.25 0.26 0.27 0.28 0.29 0.30 0.31 0.32 0.33 0.34 0.35 0.36 0.37 0.38 0.39 |
0.4775 0.4773 0.4770 0.4764 0.4756 0.4745 0.4732 0.4717 0.4699 0.4679 0.4657 0.4633 0.4607 0.4579 0.4548 0.4516 0.4482 0.4446 0.4409 0.4370 0.4329 0.4286 0.4242 0.4197 0.4151 0.4103 0.4054 0.4004 0.3954 0.3902 0.3849 0.3796 0.3742 0.3687 0.3632 0.3577 0.3521 0.3465 0.3408 0.3351 |
0.40 0.41 0.42 0.43 0.44 0.45 0.46 0.47 0.48 0.49 0.50 0.51 0.52 0.53 0.54 0.55 0.56 0.57 0.58 0.59 0.60 0.61 0.62 0.63 0.64 0.65 0.66 0.67 0.68 0.69 0.70 0.71 0.72 0.73 0.74 0.75 0.76 0.77 0.78 0.79 |
0.3294 0.3238 0.3183 0.3124 0.3068 0.3011 0.2955 0.2899 0.2843 0.2788 0.2733 0.2679 0.2625 0.2571 0.2518 0.2466 0.2414 0.2363 0.2313 0.2263 0.2214 0.2165 0.2117 0.2070 0.2024 0.1998 0.1934 0.1889 0.1846 0.1804 0.1762 0.1721 0.1681 0.1641 0.1603 0.1565 0.1527 0.1491 0.1455 0.1420 |
集中荷载下竖向附加应力系数↓
r/z |
α |
r/z |
α |
r/z |
α |
0.80 0.81 0.82 0.83 0.84 0.85 0.86 0.87 0.88 0.89 0.90 0.91 0.92 0.93 0.94 0.95 0.96 0.97 0.98 0.99 1.00 1.01 1.02 1.03 1.04 1.05 1.06 1.07 1.08 1.09 1.10 1.11 1.12 1.13 1.14 1.15 1.16 1.17 1.18 1.19 |
0.1386 0.1353 0.1320 0.1288 0.1257 0.1226 0.1196 0.1166 0.1138 0.1110 0.1083 0.1057 0.1031 0.1005 0.0981 0.0956 0.0933 0.0910 0.0887 0.0865 0.0844 0.0823 0.0803 0.0783 0.0764 0.0744 0.0727 0.0709 0.0691 0.0674 0.0658 0.0641 0.0626 0.0610 0.0595 0.0581 0.0567 0.0553 0.0359 0.0526 |
1.20 1.21 1.22 1.23 1.24 1.25 1.26 1.27 1.28 1.29 1.30 1.31 1.32 1.33 1.34 1.35 1.36 1.37 1.38 1.39 1.40 1.41 1.42 1.43 1.44 1.45 1.46 1.47 1.48 1.49 1.50 1.51 1.52 1.53 1.54 1.55 1.56 1.57 1.58 1.59 |
0.0513 0.0501 0.0489 0.0477 0.0466 0.0454 0.0443 0.0433 0.0422 0.0412 0.0402 0.0393 0.0384 0.0374 0.0365 0.0357 0.0348 0.0340 0.0332 0.0324 0.0317 0.0309 0.0302 0.0295 0.0288 0.0282 0.0275 0.0269 0.0263 0.0257 0.0251 0.0245 0.0240 0.0234 0.0229 0.0224 0.0219 0.0214 0.0209 0.0204 |
1.60 1.61 1.62 1.63 1.64 1.65 1.66 1.67 1.68 1.69 1.70 1.72 1.74 1.76 1.78 1.80 1.82 1.84 1.86 1.88 1.90 1.92 1.94 1.96 1.98 2.00 2.10 2.20 2.30 2.40 2.50 2.60 2.70 2.80 2.90 3.00 3.50 4.00 4.50 5.00 |
0.0200 0.0195 0.0191 0.0187 0.0183 0.0179 0.0175 0.0171 0.0167 0.0163 0.0160 0.0153 0.0147 0.0141 0.0135 0.0129 0.0124 0.0119 0.0114 0.0109 0.0105 0.0101 0.0097 0.0093 0.0089 0.0085 0.0070 0.0058 0.0048 0.0040 0.0034 0.0029 0.0024 0.0021 0.0017 0.0015 0.0007 0.0004 0.0002 0.0001 |
竖直向集中力作用下地基中的附加应力是轴对称的空间问题,通过算例分析,可知地基土中附加应力分布的特征如下:

(1)在集中力作用线上,附加应力随着深度z的增加而递减;
(2)当离集中力作用线某一距离r时,在地表处的附加应力=0,随着深度的增加,附加应力逐渐递增,但到一定深度后,附加应力又随着深度z的增加而减小。
(3)当z一定时,即在同一水平面上,附加应力随着r的增大而减小。
离地表愈深,应力分布范围愈大,在同一铅直线上的附加应力随深度的增加而减小。如果在空间将相同的点连接起来形成曲面,就可以得到如图所示的等值线,其空间曲面的形状如泡状,所以也称为应力泡。

当地基表面作用有几个集中力时,可以分别算出各集中力在地基中引起的附加应力,然后根据弹性体应力叠加原理求出地基的附加应力的总和。

在实际工程应用中,当基础底面形状不规则或荷载分布较复杂时,可将基底划分为若干个小面积,把小面积上的荷载当成集中力,分别求出各集中力对该点所引起的附加应力,然后进行叠加,即:


内容源于网络,如有侵权,请联系删除
相关资料推荐:
知识点:地基附加应力
0人已收藏
0人已打赏
免费3人已点赞
分享
地基基础
返回版块12.11 万条内容 · 716 人订阅
回帖成功
经验值 +10
全部回复(0 )
只看楼主 我来说两句抢沙发