作用在建筑上的各种荷载,都通过建筑物的基础传到地基中。基础底面传递给地基表面的压力称为基底接触压力,有时也简称基底压力。基底接触压力的大小和分布状况,对地基内部的附加应力有着非常重要的影响,同时,基底接触压力的大小和分布状况又与基础的刚度
、荷载的大小和分布、基础的埋深以及土的性质等因素有关。
为了便于分析,现将各种基础按照与地基土的相对抗弯刚度(EI)分成三种类型。
对于路基、坝基及薄板基础等柔性基础,其刚度很小,可近似地看成是理想柔性基础。此时,基底压力分布与作用的荷载分布规律相同,如由土筑成的路基,可以近似地认为路堤本身不传递剪力
,那么它就相当于一种柔性基础,路堤自重引起的基底压力分布就与路堤断面形状相同是梯形分布,如图所示。

由于基础的EI接近无穷大,在均布荷载作用下,基础只能保持平面下沉而不能弯曲。但是,对地基而言,均布的基底压力将产生不均匀沉降,使基础变形与地基变形不相适应,基础中部会与地面脱开。为了使基础与地基的变形保持相容,基底压力的分布要重新调整,使两端压力加大,中间应力减小,从而使地面均匀沉降,以适应绝对刚性基础的变形。若地基是完全弹性的,则弹性理论解的基底压力分布如图中实线所示,基础边缘处的压力将为无穷大。实际上,这个值不可能超过地基土的极限强度。实际工程中的混凝土挡土墙、大块墩柱等均可视为刚性基础。

在实际工程中,当基底两端压力足够大,超过土的极限强度后,土体会形成塑性区,基底两端处地基土承受的压力不再增大,多余应力向中间转移;且基础不是绝对刚性的,可以稍为弯曲,因此应力重分布的结果可以成为各种更加复杂的形式。具体的压力分布形式与地基、基础的材料特性以及基础尺寸、荷载形状、大小等因素有关。这是工程中最常见的基础。
(2)荷载的影响
上部荷载愈大,基础边缘处的基底压力愈大。实测资料表明,上部荷载增大后,基底压力呈马鞍形
(图a);上部荷载再增大时,边缘塑性破坏区逐渐扩大,所增加的上部荷载必须依靠基底中部力的增大来平衡,基底压力图形可变为抛物线型(图b)以致倒钟形分布(c)。

根据实测资料可知,当刚性基础置于砂土地基表面时,四周无超载,其基底压力分布更易呈抛物线形;而将刚性基础置于粘性土地基表面上,其基底压力分布易成马鞍形。

从上面介绍可知,基底压力的分布形式十分复杂,但由于基底压力都是作用在地表面附近,根据弹性理论相关原理可知,其具体分布形式对地基中应力计算的影响将随深度的增加而减少,至一定深度后,地基中应力分布几乎与基底压力的分布形状无关,而只决定于荷载合力的大小和位置。因此,目前在地基计算中,常采用材料力学的简化方法,即假定基底接触压力按直线分布。由此引起的误差在工程计算中是允许的,也是工程中经常采用的计算方法。下面介绍几种不同荷载作用下的基底接触压力分布情况。


G——基础自重与其台阶上的土重之和,一般取平均重度为20kN/m3计算,kN;
对于条形基础(L>10b),则沿长度方向取1m来计算。此时上式中的荷载代表每延米内的相应值。
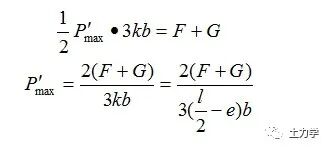
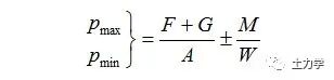
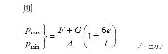
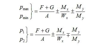
这是一个矩形基底,受偏向荷载(F+G)的作用,偏心距为,如用一等代力系代替,将(F+G)移到中心,同时应有一力距M=(F+G)e。此时,基底压力分布应按左图所示,其最大值为pmax,最小值为pmin。


式中:


但实际上,在地基土与基础之间不可能存在拉力,因此基础底面下的压力将重新分布。这时,可根据力的平衡原理确定基础底面的受压宽度和应力大小。

根据静力平衡条件可求得基底最大压力值:

在实际工程设计中,应尽量避免大偏心,此时基础难于满足抗倾覆稳定性的要求,建筑物易倾倒,造成灾难性的后果。


式中:

前面叙述的地基内附加应力的计算方法,均为荷载作用在地表面时的情形。实际上,在工程设计计算中所遇到的荷载多由建筑物基础传给地基,也就是说大多数荷载都是作用在地面下某一深度处的,这个深度就是基础埋置深度。

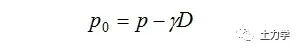
在建筑物建造以前,基础底面标高处就已经受到地基土的自重应力作用。设基础埋置深度为
D,在其范围内土的重度为,则基底处土的自重应力。当开挖到基础埋置深度,即挖好基槽后,就相当于在基槽底面卸除荷载。如果地基土是理想的弹性体,则卸荷后槽底必定会产生向上的回弹变形。事实上,地基土不是理想的弹性体,卸除荷载后,基槽底面不会立刻产生回弹变形,而是逐渐回弹的。回弹变形的大小、速度与土的性质、基槽深度和宽度,以及开挖基槽后至砌筑基础前所经历的时间等因素有关。一般情况下,为了简化计算,常假设基槽开挖后,槽底不产生回弹变形。
因此,由于建筑物荷载在基础底面所引起的附加应力,即引起地基变形的应力,对于中心受压基础则为:

γ——基础埋深范围内土的加权平均重度 (kN/m2) ;

因此,
计算基础底面下任一点的附加应力时,外荷载已经转变为基底的附加应力p0了。不同外荷载类型下的地基中附加应力公式也应作相应的改变。
内容源于网络,如有侵权,请联系删除
相关资料推荐:
加筋土挡墙墙背土压力分布规律研究
知识点:基底压力
全部回复(0 )
只看楼主 我来说两句抢沙发