自重应力是由于地基土体本身的有效重量而产生的,研究地基的自重应力是为了确定地基土体的应力状态。
b.天然地表为无限大的水平面,即假定地基是半无限空间体,如下图所示。

在地面下深度z处,任取一单元体,其上的自重应力分量为:

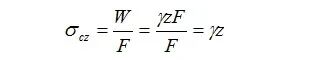
竖向自重应力,等于单位面积上土柱体的重力W,如上图所示。当地基是均质土体时,在深度z处土的竖向自重应力为:

从上式很容易得出,垂向自重应力随深度的增加而加大。在均质地基中,垂直自重应力沿某一铅垂线上的分布是一条向下倾斜的直线。
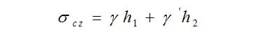
若计算点在地下水位以下,由于水对土体有浮力作用,水下部分土柱的有效重量应采用土的浮容重γˊ计算。如图中位于地下水位以下的某点,在水位以下深度为h2,其竖向自重应力为:

式中,浮容重为
分析上式可知,自重应力的分布为折线,在地下水位处发生转折,分布图见

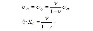
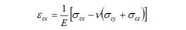
由于假设地表为无限大的水平面,因此,在自重作用下只能产生竖向变形,而不能产生侧向变形,即:




土的侧压力系数反映了水平应力与竖向应力的比值。不同的土体,该值有所不同,一般情况下应采用实测法确定该值的大小。无实测资料时,也可近似采用经验值。
从上面的分析可以看出,自重应力包括三个应力分量,但对于地基自重应力场的分析与计算,主要针对竖向自重应力。
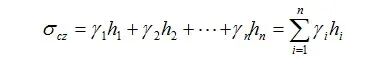
2.成层土中自重应力
天然地基土一般都是成层的,而且每层的重力密度也不同,如下图所示。

式中:
hi----第i层土层厚。当地下水位面位于同一土层时,地下水位面也应作为分界面;
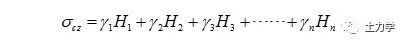
从上面公式可以看出,这里计算的自重应力是指有效自重应力,按上述计算出的竖向自重应力分布如上图所示。
分析成层土的自重应力分布曲线的变化规律,可以得到下面三点结论:
(1)土的自重应力分布曲线是一条折线,拐点在土层交界处(当上下两个土层重度不同时)和地下水位处;
(3)自重应力随深度的增加而增大。
3.地下水的影响
前面讲到地下水位对土体容重取值的影响,详细如下:
(1)若计算点在地下水位以下,由于水对土体有浮力作用,则水下部分土柱的有效重量应采用土的浮容重或饱和容重计算;
a:当位于地下水位以下的土为砂土时,土中水为自由水,计算时用。
b:当位于地下水位以下的土为坚硬粘土时,在饱和坚硬粘土中只含有结合水,计算自重应力时应采用饱和容重。
(2)下埋不透水层时自重应力的计算
在地下水位线以下存在不透水层时,由于不透水层不存在浮力,所以,层面及层面以下自重应力应按上覆土层的水土总重计算,如图所示↓。
(3)此外,地下水位的升降也会引起土中自重应力的变化。例如在软土地区,在深基坑开挖中,常因大量抽取地下水而导致地下水位长期大幅度下降,使地基中原水位以下土的自重应力增加,造成地表大面积下沉的严重后果。
至于地下水位的长期上升,常发生在人工抬高蓄水水位地区或工业用水大量渗入地下的地区,水位上升导致自重应力是降低的,会引起地基承载力的减小,如果该地区土质是湿陷土或膨胀土,则必须引起足够的注意。
土坝、土堤是具有斜坡的土体,它是一种比较特殊的情况。为计算土坝坝身和坝基的沉降,必须知道坝身中和坝底面上的应力分布。由于此时土坝土体的自重应力已不是一维问题,严格求解较困难。对于简单的中小型土坝、土堤,工程中常近似用上述自重应力计算公式,即假设坝体中任何一点因自重所引起的竖向应力均等于该点上面土柱的重量,可按公式

此时,均质坝坝身的自重应力在竖直方向为三角形分布,而水平面上自重应力的分布形状与坝断面形状相似。
内容源于网络,如有侵权,请联系删除
相关资料推荐:
知识点:土中自重应力
全部回复(0 )
只看楼主 我来说两句抢沙发