土木在线论坛 \ 建筑结构 \ 地基基础 \ 渗透破坏与控制

渗透破坏与控制

发布于:2022-09-22 13:24:22 来自:建筑结构/地基基础 [复制转发]
渗流引起的渗透破坏问题主要有两大类:一是由于渗流力的作用,使土体颗粒流失或局部土体产生移动,导致土体变形甚至失稳;二是由于渗流作用,使水压力或浮力发生变化,导致土体和结构物失稳。前者主要表现为流砂和管涌,后者主要则表现为岸坡滑动或挡土墙等构造物整体失稳。

 1.渗流动水压力
图片

↑渗透力演示试验

由图可知:
(1)当溢水口与贮水器水平面平齐时,则无渗流发生;
(2)若将贮水器提升,则贮水器内的水就透过土样从溢水口流出。提得越高,水流越快。
(3)当贮水器提升到某一高度时,可看到砂土出现像沸腾那样的现象(砂沸)设水下土颗粒有效重力为W’(土粒重力与水的浮力之差),竖直向上的渗透力(又称动水压力)为J,则土粒实际合力RW’J
JW’时,R0,土粒处于悬浮状态,出现上述现象。
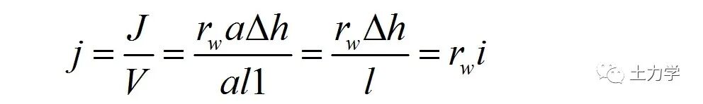
根据力学推导,单位体积土体内土粒所受到的单位渗透力j:
图片
渗透力具有以下特征:
(1)渗透力是一种体积力,量纲为KN/m3
(2)渗透力与水力坡降成正比j=γwi
(3)渗透力方向与渗流方向一致。
当渗流场中各个网格的水力坡降ii求得后,应用式jγwi可确定单位渗透力ji=γwi;网格总的渗透力Ji=jiaili;其方向与流向一致。整个流场的总渗透力矢量J即为各网格渗透力的矢量和。

图片


2.临界水力坡度与流砂
当水流向下流动时,动水压力方向与重力方向一致,使土颗粒压得更加紧密,对工程有利。反之,当水流向上渗流时,动水压力的方向与重力方向相反。当动水压力的数值等于或大于土的浮重度'时,土体颗粒间的压力就等于零,土颗粒将处于悬浮状态而失去稳定,这种现象称为流砂。即流砂产生的条件为:
图片
图片
称为临界水力坡降(临界水头梯度),只要实际水力坡降i≥icr,则会产生流砂。             
 由土的物理性质指标间的关系, γ=(Gs-1)(1-n),故有
icr=(Gs-1)(1-n)/γw                      
式中
GS—土粒比重;
n——土的孔隙度。
由式可知,土粒密度愈大,孔隙度越小,临界水力坡度越大,土体越不易发生渗透变形。式中未考虑土体本身强度的影响,故实测的往往比公式计算的要大。
容许水力坡降

图片

(取安全系数K2.02.5),设计时渗流逸出处的水力坡降应满足如下要求:

图片

流砂现象主要发生在细砂、粉砂及粉土等土层中。对于饱和的低塑性粘性土,当受到扰动时,也会发生流砂现象,而在粗颗粒及粘土中则不易发生。流砂现象一般发生在土体表面渗流逸出处,不发生于土体内部。
防治流砂的原则主要是:
(1)减少或消除基坑内外地下水的水头差,例如采取先在基坑范围外以井点降低地下水后开挖,或在不排水基坑内以抓斗等工具进行水下挖土等施工方法。
(2)增长渗流路径,例如沿坑壁打入深度超过坑底的板桩,其长度足以使受保护土体内的水头梯度小于临危梯度。
(3)在向上渗流出口处地表用透水材料覆盖压重以平衡动水压力。
 
3.管涌
在渗透水流作用下,土中的细颗粒在粗颗粒形成的孔隙中移动,以至流失;随着土的孔隙不断扩大,渗透流速不断增加,较粗的颗粒也相继被水流逐渐带走,最终导致土体内形成贯通的渗流管道,造成土体塌陷,这种现象称为管涌。可见,管涌破坏一般有一个时间发展过程,是一种渐进性质的破坏。
流砂和管涌的主要区别是:流砂发生在土体表面渗流逸出处,不发生于土体内部,而管涌既可发生在渗流逸出处,也可发生于土体内部。

图片

防止管涌一般可从下两方面采取措施:
1.改变水力条件降低土层内部和渗流逸出处的渗透坡降。如上游做防渗铺盖或打板桩等。

图片

2.改变几何条件在渗流逸出部位铺设层间关系满足要求的反滤层是防止管涌破坏的有效措施。
 

图片

为发生在湖南望城湘江大堤最大的管涌。由于暴雨使湘江水猛长,使土体中的水力坡降增加,加之土结构的几何原因,发生了图中的管涌。沙袋用来提高逸出口水位,以降低水力坡降。此外还抛了一些大的砾石形成反滤层。

内容源于网络,如有侵权,请联系删除


相关资料推荐:

反渗透电气控制图

1T/H反渗透电气控制图


知识点:渗透破坏与控制

全部回复(0 )

只看楼主 我来说两句抢沙发
这个家伙什么也没有留下。。。

地基基础

返回版块

12.11 万条内容 · 716 人订阅

猜你喜欢

阅读下一篇

流网特征及应用

由拉普拉斯方程可知,渗流场内任一点的水头是其坐标的函数,而一旦渗流场中各点的水头为已知,其他流动特性也就可以通过计算得出。 求解拉普拉斯方程常用的方法主要有解析法、数值法、电拟法和图解法。一般解析法是比较精确的,但也只有在边界条件较简单的情况才容易得到,因此并不实用。对于边界条件比较复杂的渗流,一般采用数值法和电拟法。在工程上广泛应用的多为图解法,该法简便,计算迅速。但不论采用那种方法求解,其最后结果通常均可用流网表示。

回帖成功

经验值 +10