知识点:高压预装式变电站
箱式变电站,又叫预装式变电所或预装式变电站,是一种高压开关设备、配电变压器和低压配电装置按一定接线方案排成一体的工厂预制户内、户外紧凑式配电设备,即将变压器降压、低压配电等功能有机地组合在一起的可移动钢结构箱。我国于20世纪70年代后期,从法国、德国等国引进和仿制了箱式变电站,其具有以下优点:(1)占地面积小,适合在一般城市负荷密集地区、农村地区、住宅小区等安装,有利于高压延伸,减小低压线路的供电半径,降低线损;(2)减少土建基础费用,可以工厂化生产,缩短现场施工周期,投资较少,收效明显;(3)体积小,重量轻,安装移动方便等。
近年来,随着我国经济建设飞速发展,对预装式变电站预制舱的需求越来越旺盛,预装式变电站预制舱的体积和重量也越来越大。目前,国内已有很多家设计、生产预装式变电站预制舱的企业,产品重量从10 t到40 t不等,甚至较重的重量已超过80 t。吊具是连接吊钩与被吊物的关键部件,在被吊物跨距较大时,若不采用吊具而直接用钢丝绳与被吊物连接,钢丝绳产生的水平力是巨大的,将直接导致被吊物由于刚性不够而产生损伤
[1]
,因此,一般需要设计专用吊具进行预装式变电站预制舱的吊装。在工程实践当中,吊具设计不合理造成的安全事故时有发生,通常会发生变形较大问题、强度破坏问题,严重的甚至会发生失稳问题。
为杜绝安全事故的发生、避免经济损失,必须对预装式变电站预制舱吊具进行力学设计与分析。本文针对某背靠背槽钢梁式吊具出现的稳定性问题进行了分析,指出了其薄弱环节和设计、吊装过程中存在的问题,最后通过有限元方法对其进行了加载验证。
预装式变电站预制舱的起吊现场情况如图1、图2所示,图1为车间室内行车吊装,图2为室外吊车吊装。起重吊钩钩住吊具上两根具有一定夹角的钢丝绳,钢丝绳通过卸扣连接在吊具两端。吊具横梁下面四根钢丝绳,上面用卸扣与横梁下孔连接,四根钢丝绳下端分别套在箱体专用吊杆上。


某吊具结构如图3所示,采用两根20号槽钢背靠背组成,中间以厚度为25 mm的钢板间隔焊接而成。吊具长度4 400 mm,吊装重量40 t,截面惯性矩为Ix=9 028 954.74 mm4,Iy=35 393 074.35 mm4,吊钩处钢丝绳夹角为120°,吊装过程中发生了吊具失稳问题,如图4所示。

针对上述吊具问题进行受力分析,上、下钢丝绳与吊具的连接均为卸扣连接,属于铰链连接,因此钢丝绳在铰接处只能传递拉力,不能传递弯矩。对于吊具来说,只受轴向力压力作用(由于吊耳不在轴线上,实际上还存在一个小量的弯矩,在斜向上钢丝绳的拉力作用向轴线的延长与轴线的交点,该交点与下钢丝绳不交于一点,这里先忽略该弯矩),受力情况如图5所示。

对于C点:
由式(2)可知,吊具受到的轴向压力是上部钢丝绳夹角一半的正切函数,由正切函数性质可知,随着夹角α逐渐增大,一开始轴向压力增加较慢,但当超过30°,轴向压力将急剧增加,即钢丝绳夹角2α超过60°以后,轴力将迅速增加,如图6所示。对于该吊具,吊装重量40 t,当钢丝绳夹角为60°时,α=30°,吊具轴向压力N
BC
=113 160.7 N;当钢丝绳夹角为120°时,α=60°,吊具轴向压力N
BC
=339 481.9 N。钢丝绳夹角为120°时的轴向压力是60°时的3倍。

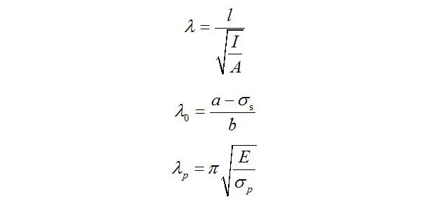
吊具长度l=4 400 mm,吊装重量40 t,截面惯性矩为Ix=9 028 954.74 mm4(槽钢开口方向),Iy=35 393 074.35 mm4,截面积A=5 727.9 mm2,材料为Q235,E=200 GPa,a=304 MPa,b=1.12 MPa,δp=200 MPa,δs=235 MPa,可以由下式计算杆的柔度λ、λ0 和λp:

得:λ
x
=110.8,λ
y
=56.0,λ
p
=99.3,λ
0
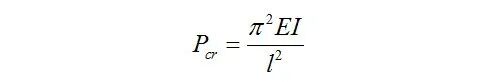
=61.6。可知在x向,即沿槽钢开口方向,该吊具属于大柔度杆,可能会发生稳定性问题。进一步采用下式计算失稳临界载荷:
沿x向:P
cr
=920 580 N;沿y向,属于短粗杆,不会发生失稳。
根据GB/T 26079—2010《梁式吊具》7.4节要求
[4]
,受轴向压力的梁体其稳定安全系数为5.0,要求设计的吊具的失稳临界载荷应大于5倍的轴向力。
由前面计算的轴向力知:当钢丝绳夹角为60°时,α=30°,吊具轴向压力的5倍为565 803 N<P
cr
,不会失稳。
当钢丝绳夹角为120°时,α=60°,吊具轴向压力5倍为1 697 409.5 N>P
cr
,可能会发生失稳,实际上已经发生失稳。此时虽然轴力本身N
BC
=339 481.9 N不超过失稳临界载荷P
cr
,但根据规范要求需要5倍的安全系数,以防范实际吊装过程中可能发生的小量的受力歪斜、吊绳不对称等问题。从这个实际案例可见,对于稳定性问题,足够的安全系数很重要,同时吊装钢丝绳夹角应控制在60°以内。
根据压杆稳定性理论,两端铰支长度为L的杆的临界失稳载荷与一端固支、一端铰支、长度为L/2的杆的临界失稳载荷等效。对于该吊具建立有限元模型,建立一半模型进行分析,采用六面体单元划分网格,共8 769个单元,一端固定约束,一端自由加载荷,有限元模型如图7、图8所示,两个方向的临界失稳载荷如图9、图10所示。


有限元计算所得的x向临界失稳载荷P=832 850 N,小于理论计算值920 580 N,这主要是由于两个槽钢背靠背间隔焊接,理论计算时忽略了这点引起的。
由第3节分析可知,槽钢背靠背焊接而成的吊具,横截面的两个方向上的失稳临界载荷存在很大差距。在槽钢开口方向(x向)更易发生失稳,主要原因是开口方向的惯性矩较小,因此可以采用两个方向惯性矩相当或相等的截面形式提高临界失稳载荷。可以考虑采用方管钢型材对上述吊具进行改进。如图11所示,选用200 mm×200 mm×7 mm的Q235方管钢进行设计,分别计算杆的柔度λ、λ
0
和λ
p
:λ=λ
x
=λ
y
=53.6,λ
p
=99.3,λ
0
=61.6,λ<λ
0
,属于短粗杆,设计上不会失稳,并采用有限元对其进行强度校核,如图12、图13所示,最大应力133.61 MPa,满足强度要求。


本文针对某预装式变电站预制舱背靠背槽钢梁式吊具出现的稳定性问题进行了分析,可以得到以下结论:吊具计算时需考虑压杆
失稳问题,并留够足够的安全系数;吊具受到轴向压力作用,压力随上吊钩处钢丝绳夹角的增大将迅速增大,且服从正切函数关系,实际操作过程中需严格控制钢丝绳夹角,最好在60°以内;吊具设计时,应尽量设计成两个方向等惯性矩的截面,以提升临界失稳载荷。
相关推荐链接:
1、17467-2010 高压∕低压预装式变电站
2、高压∕低压预装式变电站必须遵循的标准
全部回复(0 )
只看楼主 我来说两句抢沙发