第八章:钢筋混凝土受扭构件承载力计算
8.1纯扭构件的受力性能
按引起构件受扭原因,一般把扭转分为两类:
平衡扭转:由荷载直接引起的扭转,其扭矩可利用静力平衡条件求得,与构件的抗扭刚度无关。如吊车梁和阳台梁。如果截面受扭承载力不足,构件就会破坏。平衡扭转主要是一个承载能力问题。
协调扭转(附加扭转):超静定结构中由于变形的协调使构件产生的扭转,其扭转需根据静力平衡条件求得。协调扭转与构件所受的扭转及连接处构件各自的抗扭刚度有关。这类扭转一般仅采取一些受扭构造措施予以解决,而不作扭转计算。

素混凝土纯扭构件的受力性能
在纯扭矩作用下,无筋矩形截面混凝土构件开裂前具有与均质弹性材料类似的性质,截面长边中点剪应力最大,在截面四角点处剪应力为零。当截面长边中点附近最大主拉应变达到混凝土的极限拉应变时,构件就会开裂。随着扭矩的增加,裂缝与构件纵轴线成450角向相邻两个面延伸,最后构件三面开裂,一面受压,形成一空间扭曲斜裂面而破坏。自开裂至构件破坏的过程短暂,破坏突然,属于脆性破坏,抗扭承载力很低。
钢筋混凝土纯扭构件的受力性能
素混凝土纯扭构件一旦开裂就很快破坏,受扭承载力很低。所以,受扭构件一般配置钢筋以提高受扭承载力。
实际工程中一般采用垂直于构件纵轴的抗扭箍筋和沿截面周边布置的抗扭纵筋组成的空间钢筋骨架来承担扭矩。
受扭纵向钢筋必须沿截面周边对称均匀布置,试验表明,非对称布置的抗扭纵向钢筋不能充分发挥作用;箍筋应采用封闭箍。
当扭矩很小时,混凝土未开裂,钢筋拉应力也很低,构件受力性能类似于无筋混凝土截面。随着扭矩的增大,在某薄弱截面的长边中点首先出现斜裂缝,此时扭矩稍大于开裂扭矩Tcr。斜裂缝出现后,混凝土卸载,裂缝处的主拉应力主要由钢筋承担,因而钢筋应力突然增大。当构件配筋适中时,荷载可继续增加,随之在构件表面形成连续或不连续的与纵轴线成约35?~55?的螺旋形裂缝。扭矩达到一定值时,某一条螺旋形裂缝形成主裂缝,与之相交的纵筋和箍筋达到屈服强度,截面三边受拉,一边受压,最后混凝土被压碎而破坏。破裂面为一空间曲面。
矩形截面纯扭构件破坏的几种形态
少筋破坏
当纵筋和箍筋中只要有一种配置不足时便会出现此种破坏。斜裂缝一旦出现,其中配置不足的钢筋便会因混凝土卸载很快屈服,使构件突然破坏。破坏属于脆性破坏,类似于粱正截面承载能力时的少筋破坏。设计中通过规定抗扭纵筋和箍筋的最小配筋率来防止少筋破坏;
适筋破坏
如前所述,当构件纵筋和箍筋都配置适中时出现此种破坏。从斜裂缝出现到构件破坏要经历较长的阶段,有较明显的破坏预兆,因而破坏具有一定的延性。
部分超筋破坏
当纵筋或箍筋其中之一配置过多时出现此种破坏。破坏时混凝土被压碎,配置过多的钢筋达不到屈服,破坏过程有一定的延性,但较适筋破坏的延性差。
超筋破坏
当纵筋和箍筋都配置过多时出现此种破坏。破坏时混凝土被压碎,而纵筋和箍筋都不屈服,破坏突然,因,而延性差,类似于梁正截面设计时的超筋破坏。设计中通过规定最大配筋率或限制截面最小尺寸来避免。
矩形截面纯扭构件的抗裂扭矩
混凝土材料既非完全弹性,也不是理想弹塑性,而是介于两者之间的弹塑性材料。
矩形截面纯扭构件的抗裂扭矩Tcr按下式计算

0.7——考虑到混凝土非完全塑性材料的强度降低系数
f t——混凝土抗拉强度设计值
Wt——截面抗扭抵抗矩,按下式计算

纯扭构件抗扭承载力计算
1)矩形截面
根据变角度空间模型或扭曲破坏面极限平衡理论,矩形截面纯扭构件抗扭承载力计算公式如下

fyv——抗扭箍筋抗拉强度设计值;
Ast1——抗扭箍筋的单肢截面面积,
s ——抗扭箍筋的间距;
Acor——截面核芯部分面积,即由箍筋内表面所围成的截面面积;

bcor,hcor——分别为核芯部分短边及长边尺寸
纵向钢筋与箍筋的配筋强度之比(两者的体积比与强度比的乘积)

Ast1——对称布置的全部纵向钢筋截面面积;
Ucor——截面核芯部分周长

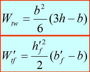
2)T形或工字形截面
对于T形或工字形截面构件,《规范》将其划分为若干个矩形截面,然后按矩形截面分别进行配筋计算。矩形截面划分的原则是首先保证腹板截面的完整性,然后再划分受压和受拉翼缘,如图所示。划分的矩形截面所承担的扭矩,按其受扭抵抗矩与截面总受扭抵抗矩的比值进行分配。



截面总的受扭塑性抵抗矩为


相关资料推荐:
https://ziliao.co188.com/p63458405.html
知识点:钢筋混凝土受扭构件的破坏形态和开裂扭矩
0人已收藏
0人已打赏
免费5人已点赞
分享
道路工程
返回版块15.09 万条内容 · 689 人订阅
阅读下一篇
预应力施工作业指导书预应力施工作业指导书 1、适用范围 本作业指导书适用于预应力施工。 2、作业准备 2.1 内业准备 开工前组织技术人员认真学习实施性施工组织设计,阅读、审核施工图纸,澄清有关技术问题,熟悉规范和技术标准。制定施工安全保证措施,提出应急预案。对施工人员进行技术交底,对参加施工人员进行上岗前技术培训,考核合格后持证上岗。
回帖成功
经验值 +10
全部回复(0 )
只看楼主 我来说两句抢沙发