土是由固体相的颗粒、孔隙中的液体和气体三相组成的,而土中的孔隙具有连续的性质,土体孔隙中的自由水,在重力作用下会发生运动。
当土作为水土建筑物的地基或直接把它用作水土建筑物的材料时,水就会在水头差作用下从水位较高的一侧透过土体的孔隙流向水位较低的一侧。


土孔隙中的自由水在位势差作用下发生运动的现象,称为渗透。这种土体被水透过的性质,称为土的渗透性。渗透性是土的重要工程性质之一。
水在土体中渗透,一方面会造成水量损失,影响工程效益;另一方面将引起土体内部应力状态的变化,从而改变水土建筑物或地基的稳定条件,甚者还会酿成破坏事故。

由水的渗透引起岩土体边坡失稳、边坡变形、地基变形、岩溶渗透塌陷等均属于岩土体的渗透稳定问题。渗透与土的强度、变形问题一样,也是土力学中主要研究课题之一。
水往哪里流?


如果忽略不计由摩擦等引起的能量损失,水的流动符合能量守恒原理。
1738年瑞士数学家伯努利应用动能定理推导出来的能量方程式,称为伯努利方程式。

饱和土体空隙中的渗透水流,也遵从伯努利方程,并用水头的概念来研究水体流动中的位能和动能。
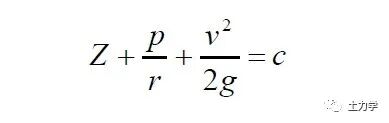
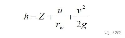
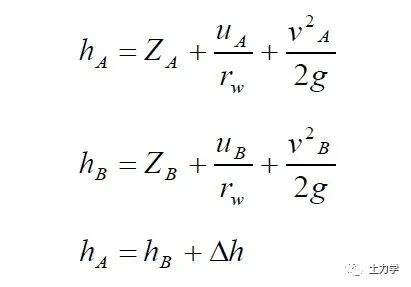
按照伯努利方程,液流中一点的总水头h,可以用位置水头Z,压力水头U/rw和流速水头V2/2g之和表示,即
此方程式中各项的物理意义均代表单位重量液体所具有的各种机械能,而其量纲都是长度。

上图表示渗流在水中流经A,B两点时,各种水头的相互关系。

式中:
ZA,ZB:为A,B,两点相对于任意选定的基准面的高度,代表单位重量液体所具有的位能(位置高度)故称Z为位置水头。
UA,UB
:为A,B两点的水压力(空隙水压力)。代表单位重量液体所具有的压力势能。而UA/rw,UB/rw则代表A,B两点空隙水压力的水柱高度。故称U/rw为压力水头。
VA,VB
:为A,B两点的渗流速度。g为重力加速度。
V2/2g即代表单位重量液体所具有的动能,故称V2/2g为流速水头。
hA,hB
:为A,B两点的单位重量液体所具有的机械能,故称之为总水头。
?h
:为A,B两点之间的总水头差,代表单位重量液体从A点向B点流动时,为克服阻力而损失的能量。
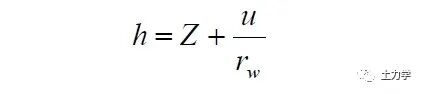
此外,称为测管水头,代表单位重量液体所具有的总势能。
当土中渗流阻力大时,V一般都很小,形成的流速水头V2/2g更小,可不计,这时总水头h,可用测管水头来代替,即

A、B两点间的水头损失,可用无量纲的形式来表示,即

L
:为A,B两点间的渗流途径水头损失?h的渗流长度。
3.达西定律
基本概念
(1)流线:水点的运动轨迹称为流线;
(2)层流:如果流线互不相交,则水的运动称为层流。土体中空隙的形状和大小是极不规则的,因而水在土体空隙中的渗透是一种十分复杂的现象。由于土体中的空隙一般非常微小,水在土体中流动时的粘滞阻力很大,流速缓慢,因此,其流动状态大多属于层流。
(3)紊流:如果流线相交,水中发生局部旋涡,则称为紊流。
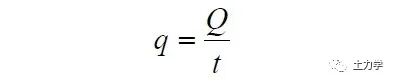
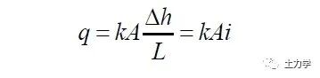
1856年,法国学者达西(Darcy,H.)根据砂土渗透实验,发现水的渗透速度与水力坡降成正比,即达西定律。试验装置下图所示:

L----试样长(砂土);
A----截面积;
?h----水位差,h1-h2;
t-----时间(s);
Q----试验开始t秒钟后盛水容器所接水量(cm3)。
达西发现,q与A、?h成正比,与L成反比,则写成:

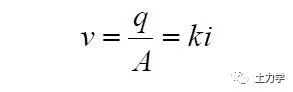
则渗透速度(单位时间通过单位面积的水量)为

式中:
v------渗透速度,m/s;
i------水力坡降(水头梯度);
K-----渗透系数(permeability coefficient)。
当i=1时,v=k。这表明渗透系数k是单位水力坡降的渗透速度,它是表示土的渗透性强弱的指标,一般由渗透试验确定。
由于达西定律只适用于层流的情况,故一般只适用于中砂、细砂、粉砂等。
粘土
中的渗流规律需将达西定律进行修正。在粘土中,土颗粒周围存在着结合水,结合水因受到分子引力作用而呈现粘滞性。因此,粘土中自由水的渗流受到结合水的粘滞作用产生很大阻力,只有克服结合水的粘滞阻力后才能开始渗流。

↑粘滞阻力
我们把克服此粘滞阻力所需的水头梯度,称为粘土的起始水头梯度ib。这样,在粘土中应按下述修正后的达西定律计算渗流速度:
式中: ib---起始水头梯度(起始水力坡降)。
在
砾类土和巨粒土
中,只有在小的水力坡降下,渗透速度与水力坡降才呈线性关系,而在较大的水力坡降下,水在土中的流动进入紊流状态,呈非线性关系,此时达西定律不能适用,如上图(c)所示,需建立紊流情况下的公式关系。
4.渗透系数的测定方法
渗透系数是一个代表土的渗透性强弱的定量指标,也是渗透计算时必须用到的一个基本参数。土的渗透系数可用室内渗透试验和现场抽水试验来确定。一般说,现场试验比室内试验所得到的成果要准确可靠。

↑常水头试验法,适用透水性大的砂性土
↑变水头试验法,适用透水性小的无粘性土
土的颗粒大小,形状及级配,影响土中空隙大小及形状,因而影响渗透性。土粒越粗,越浑园,越均匀时,渗透性就大。砂土中含有较多粉土,或粘土颗粒时,其渗透系数就大大降低。

关于土的矿物成份对无粘性土的渗透性影响不大,但对于粘性土的渗透性影响较大。粘性土中含有亲水性较大的粘土矿物(如蒙脱石)或有机质时,由于它们具有很大的膨胀性,就大大降低了土的渗透性,含有大量有机质的淤泥几乎是不透水的。
由e=Vv/Vs可知,孔隙比e越大,Vv越大,渗透系数越大,而孔隙比的影响,主要决定于土体中的孔隙体积,而孔隙体积又决定于孔隙的直径大小,决定于土粒的颗粒大小和级配。
天然土层通常是各向异性的,在渗透性方面往往也是如此。如黄土具有竖直方向的大孔隙,所以竖直方向的渗透系数要比水平方向大得多。层状粘土常夹有薄的粉砂层,它在水平方向的渗透系数要比竖直方向大得多。
水在土中的渗透速度与水的重度及粘滞度有关,而这两个数值又与温度有关。一般水的重度随温度变化很小,可略去不计,但水的粘滞系数随温度的升高而降低,从而增加了水的渗透性。
当土孔隙中存在密闭气泡时,会阻塞水的渗流,从而降低了的渗透性。这种密闭气泡有时是由溶解于水中的气体分离而形成的,故水的含水量也影响土的渗透系数。
天然沉积土往往是由渗透性不同的土层所组成。对于与土层层面平行和垂直的简单渗流情况,当各土层的渗透系数和厚度为已知时,我们可求出整个土层与层面平行和垂直的平均渗透系数,作为渗流计算的依据。

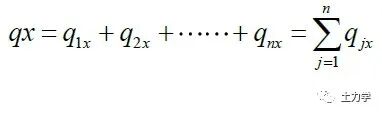
已知地基内各层土的渗透系数分别为K1,K2,K3,……Kn,厚度分别为H1,H2,……Hn,总厚度为H。
任取两水流断面1-1,2-2;两断面距离为L,水头损失为?h,这
种平行于
各层面的水平渗流的特点是:
1.各土层的水力坡降ij(=?h/L)与等效土层的平均水力坡降i之相同。
2.若通过各土层的渗流量为q1x,q2x, ……qnx,则通过整个土层的总渗流量qx应为各土层渗流量之总和。即:
将达西定律代入上式,可得



注意:在实际工程中,选用等效渗透系数时,一定要注意水流的方向,选择正确的等效渗透系数。
内容源于网络,如有侵权,请联系删除
相关资料推荐:
知识点:土的渗透性及渗透系数
全部回复(6 )
只看楼主 我来说两句-
chennut
沙发
2022-09-23 09:58:23
赞同0
-
lijiawei411
板凳
土孔隙中的自由水在位势差作用下发生运动的现象,称为
渗透。这种土体被水透过的性质,称为
土的渗透性。渗透性是土的重要工程性质之一。
水在土体中渗透,一方面会造成水量损失,影响工程效益;另一方面将引起土体内部应力状态的变化,从而改变水土建筑物或地基的稳定条件,甚者还会酿成破坏事故。
2022-09-22 13:56:22
赞同0
加载更多图文并茂,讲解的全面到位,谢谢楼主。
回复 举报
回复 举报