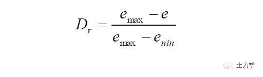
对于砂、卵石、砾石等无粘性土,属单粒结构,最主要的物理特性指标就是密实度。孔隙比、干容重在一定程度上也可以反映土的密度程度,但这两个指标没有考虑粒径级配对土的密度程度的影响。不同极配的砂土,可以具有相同的孔隙比e,若土颗粒的大小、形状和级配不同,则土的密实程度也明显不同。如均匀颗粒的土与包含大颗粒和小颗粒的土,其密实程度是不同的。为此,实际工程中,一般用相对密实度Dr来表征砂土的密实程度。公式为:
式中:emax为最大孔隙比,即最疏松状态下的孔隙比;
砂土的天然孔隙比界于最大和最小孔隙比之间,故相对密度Dr=0—1;
当e=emax时,则Dr=0,砂土处于最疏松状态;
当e=emin时,则Dr=1,砂土处于最紧密状态。
砂土的最疏松与最密实的状态可在实验室由人工制备。emin一般采用“振击法”测定,emax一般用“松砂器法”测定。实际上,由于砂土原状样不易取得,测定天然孔隙比较为困难,加上实验室测定砂土的emax与emin精度有限,因此计算的相对密度值误差较大。
将式中的孔隙比用干密度替换,可得到用
干密度表示
的相对密度表达式:
最大干密度和最小干密度可直接由试验测定。具体测定方法请参阅“土工试验规程”。

粘性土不存在最大和最小孔隙比,因此粘性土的密实度只能依据孔隙比和干密度来判别。
标准贯入试验是一种现场原位测试方法,是将标准贯入器打入土中一定距离(30cm)所需落锤次数(标贯击数),记为N,该值反映了土的密实度的大小。该值越大,土越密实。《建筑地基基础设计规范》(GB50007)规定,砂土的密实度可以根据标准贯入试验锤击数N来划分,如下表所示:

注:当用静力触探探头阻力判定砂土的密实度时,可根据当地经验确定。
2.碎石土密实度按重型圆锥动力触探锤击数N63.5划分
《建筑地基基础设计规范》(GB50007)中规定,碎石土的密实度可按重型圆锥动力触探锤击数N63.5划分,按下表分为松散、稍密、中密、密实。

注:1. 本表适用于平均粒径小于等于50mm且最大粒径不超过100mm的卵石、碎石、圆砾、角砾。对于平均粒径大于50mm或最大粒径大于100mm的碎石土,可按本规范附录B鉴别其密实度;
《建筑地基基础设计规范》(GB50007)附录中给出碎石土密实度的野外鉴别方法,如下表所示:

内容源于网络,如有侵权,请联系删除
相关资料推荐:
知识点:无黏性土的密实度
全部回复(1 )
只看楼主 我来说两句 抢板凳总结的还是比较到位的,清楚,可以学些一下,感谢!
回复 举报