土是土粒(固体相),水(液体相)和空气(气体相)三者所组成的。土的物理性质就是研究三相的质量与体积间的相互比例关系以及固、液两相相互作用表现出来的性质。

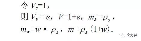
土的三相组成实际上是混合分布的,为了使三相比例关系形象化和阐述方便,将它们分别集中起来画出土的三相示意图如下:

三个基本指标是必须通过试验测定的,它们是含水量,天然密度和土粒密度。
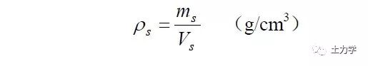
土粒密度是指固体颗粒的质量与其体积之比,即单位体积土粒的质量。

土粒密度大小决定于土粒的矿物成分,与土的孔隙大小和含水多少无关,它的数值一般在2.60~2.80g/cm3之间(如下表)。一情况下,随有机质含量增多而减小,随铁镁质矿物增多而增大。它是土中各种矿物密度的加权平均值。
土的种类 |
常见值 |
平均值 |
砾类土 |
2.65~2.75 |
|
砂类土 |
2.65~2.70 |
2.66 |
粉土 |
2.65~2.70 |
2.68 |
粉质粘土 |
2.68~2.73 |
2.71 |
粘土 |
2.72~2.76 |
2.74 |
土粒度密度是实测指标,可在实验室内直接测定。土粒比重常用比重瓶法测定,事先将比重瓶注满纯水,称瓶加水的质量。
然后把烘干土若干克装入该空比重瓶内,再加纯水至满,称瓶加土加水的质量,按下式计算土粒比重:


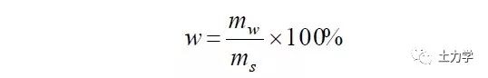
土中所含水分的质量与固体颗粒质量之比,以百分数表示,又称土的含水率。
一般所说的含水量指的是天然含水量,土的含水量由于土层所处自然条件(如水的补给、气候、离地下水位的距离等),土层的结构构造(松密程度)以及沉积历史等的不同,其数值相差较大。
一般砂类土的含水量都不会超过40%,以10~30%为常见值,一般粘性土的常见值为20~50%。
土的孔隙中全被水充满时的含水量,称为饱和含水量wsat。
饱和含水量既能反映土孔隙中全部充满水时含水多少,又能反映土的孔隙率大小。

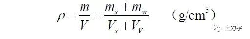
天然密度的大小取决于矿物成分、孔隙大小和含水情况,综合反映了土的物质组成和结构特征。土越密实,含水量越高,则天然密度就越大,反之就越小。由于自然界土的松密程度与含水量变化较大,故天然密度变化较大,一般值为1.6~2.2g/cm3,小于土粒密度值,它是一个实测指标。
2.特殊条件下土的密度
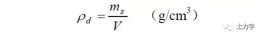
(1)干密度
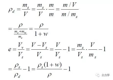
土的孔隙中完全没有水时的密度,称土的干密度,指单位体积干土的质量,即

干密度与土中含水多少无关,只取决于土的矿物成分和孔隙性。对于某一种土来说,矿物成分是固定的,土的密度大小只取决土的孔隙性,所以干密度能说明土的密实程度。其值越大越密实,反之越疏松。干密度可以实测,但一般用其他指标计算求得,土的干密度一般在
1.4~1.7g/cm3之间。可用来计算孔隙性指标。对填土工程(如堤、坝、路基)常用干密度作为填土压密程度的质量要求指标。

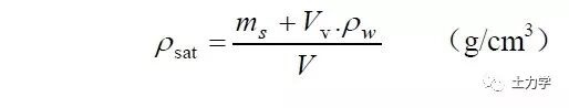
土的孔隙完全被水充满时的密度称为饱和密度,是指土孔隙中全部充满液态水时的单位体积土的质量,即

工程实际中,常将土的密度换算成土的重度,重度等于密度乘以重力加速度g,即

式中的重力加速度常近似取10m/s2,当密度为1.0g/cm3时,则重度为10kN/m3。与天然密度、干密度、饱和密度对应的重度分别称之为

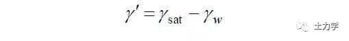
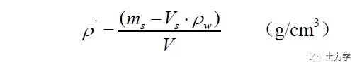
处于地下水位以下的土层,如果土层是透水的,此时土受水的浮力作用,土的实际重量将减小,那么这种处于地水位以下的有效密度常特称为土的浮密度,即

浮重度等于土的饱和重度减去水的重度,即

对于同一种土来讲,土的天然重度、干重度、饱和重度、浮重度在数值上有如下关系:

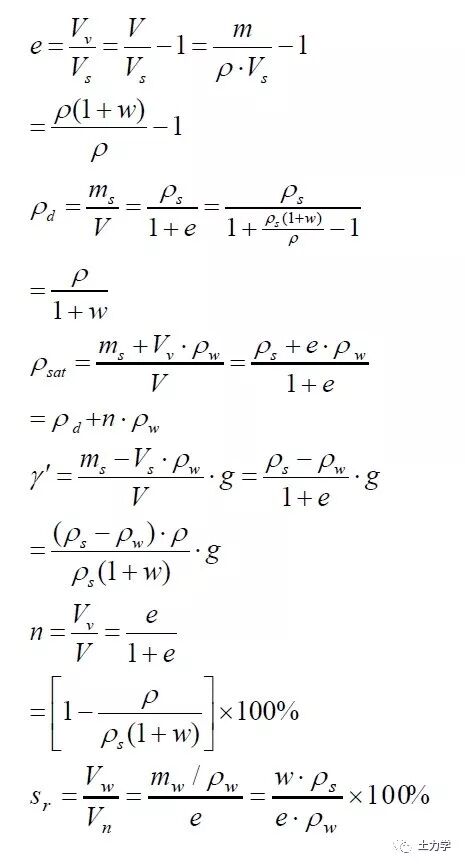
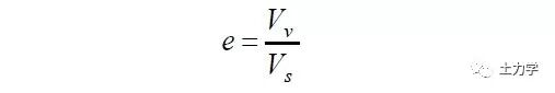
孔隙比指土中孔隙体积与土中固体颗粒总体积的比值,用小数表示,

土的孔隙比说明土的密实程度,按其大小可对砂土或粉土进行密实度分类。如在《岩土工勘察规范》(GB50021)中,用天然孔隙比来确定粉土的密实度,e<0.75为密实,0.75≤e≤0.9为中密,e>0.9为稍密的粉土。工程实际中,除了用孔隙比评价砂类土或粉土的密实程度外,还用于地基沉降量的计算。土的孔隙比是一个计算指标。
孔隙度又称孔隙率,指土中孔隙总体积与土的总体积之比,用百分数表示

土的孔隙度取决于土的结构状态,砂类土的孔隙度常小于粘性土的孔隙度。土的孔隙度一般为27~52%。新沉积的淤泥,孔隙度可达80%。土的孔隙度是一个计算指标。

3)饱和度
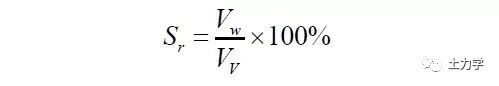
土孔隙中所含水的体积与土中孔隙体积的比值称为土的饱和度,以百分数表示

或天然含水量与饱和含水量之比

饱和度可以说明土孔隙中充水的程度,其数值为0~100%。
干土:Sr=0;饱和土:Sr=100%。
工程实际中,饱和度主要用于评述砂类土的含水状况(或湿度),按饱和度大小常将砂类土划分为如下三种含水状况:
饱和度是一个计算指标。工程实际中,一般不用饱和度评价粘性土的湿度。
上述表示土的三相比例关系的指标一共有9个,即:土粒密度、天然密度、干密度、饱和密度、浮密度、含水量、饱和度、孔隙度、孔隙比。它们主要反映了土的密实程度与干湿状态,而且相互之间都有内在联系。其中土粒密度、天然密度、含水量是三个基本实测指标、即通过试验直接测定。其余六个指标均可由三个实测指标换算取得,常称为导出指标或计算指标。
由实测指标换算求取六个导出指标可直接用简单的数学演算方法,如:

应用三相比例关系(简化的三相图),按照各指标的定义来计算导出指标更为简便。



因此只要测得三个实测指标,其余导出指标便可求得,三个基本实测指标的精度直接影响着各导出指标的精度。本小节相关概念列表于下:

内容源于网络,如有侵权,请联系删除
相关资料推荐:
知识点:土的三相比例指标
全部回复(0 )
只看楼主 我来说两句抢沙发