1. 1 基本假设
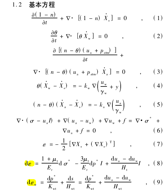
非饱和土非线性固结理论是由陈正汉等人提出的非饱和土增量非线性本构模型引入非饱和土固结理论发展而来的,经过多年的发展完善,该理论各方面已相对较为成熟。其基本假设如下: ①土中水、气各自连通,且均不承受剪应力; ② 土是均质各向同性的,小应变,准静态; ③不考虑相变和气在水中的溶解; ④组分应力是对称的; ⑤土颗粒与水不可压缩;⑥等温过程,不计热效应,气相服从理想气体的状态方程。



2.工程实例及参数选取



注:参考文献
本书编委会. 延安新区黄土丘陵沟壑区域工程造地实践[M]. 北京: 中国建筑工业出版社,2019. ( Editorial Board of This Book. Engineering Practice of LandReclamation inLoess Hilly Gully Areas in Yan'an New District[M]. Beijing:China Architecture & Building Press,2019. ( in Chinese) )
[1]郭剑峰,陈正汉,郭楠.延安新区高填方工程的变形与水分迁移耦合分析[J].岩土工程学报,2021,43(S1):143-148.
内容源于网络,如有侵权,请联系删除
相关资料推荐:
欧美最新混凝土收缩徐变理论在超高层结构非线性施工分析中的应用
知识点:非饱和土非线性固结理论
0人已收藏
0人已打赏
免费4人已点赞
分享
结构资料库
返回版块41.29 万条内容 · 424 人订阅
回帖成功
经验值 +10
全部回复(0 )
只看楼主 我来说两句抢沙发