
例:常规3米高,240墙,无洞口,高厚比计算=3/0.24=12.5<1.2*1.0*24=28.8,满足要求。
2、风荷载验算

按我处城市风荷载取值,计算10米下围墙风荷载为0.38 kN/m2
计算过程如下:
基本风压 ω0 = 0.45 kN/m2
局部体型系数 μs1 = 1.30
计算风压处高度 z = 10.0 m
地面粗糙度 C 类
根据《荷载规范》表8.2.1,高度变化系数μz = 0.650
根据《荷载规范》表8.6.1,阵风系数βgz = 1.0
风压标准值 ωk = βgz*μs1*μz*ω0
= 1.0*1.30*0.650*0.45
= 0.38 kN/m2
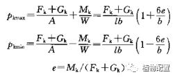
3、基础验算
基础埋深应至少大于当地冻土深度,基础下部无腐殖土。
台阶高宽比>1.5
轴心作用下

偏心作用下





三、验算纯砌体墙在风荷载下的高度上限值
240厚MU15混凝土普通砖,M5水泥砂浆砌筑,基础埋深按1.0m,计算简图如下:

因为不考虑墙体两侧存在扶壁柱和构造柱的情况,墙体的破坏是以沿通缝弯曲破坏,按下表采用M5砂浆等级弯曲抗拉强度取值0.11MPa,抗剪强度等级为0.11MPa。

受弯计算
假设墙体高度为H
墙体部风荷载造成的弯矩值M=0.2*0.38*H^2
抵抗距W=//6*1*0.24^2
1.2M
计算H=2.1m
抗剪计算
抗剪强度设计值f=0.11*1*0.24*2/3=17.6KN
围墙所受剪力=2.1*1.0*0.38=0.8KN
故无需考虑剪力影响
按上述计算过程370墙,计算H=5m
四、当设置扶壁柱或构造柱时,墙体破坏沿齿缝,验算墙体高度
以构造柱或扶壁柱按4m计算,240墙时
验算墙体强度
风荷载引起的弯矩值
M=1/8*0.38*4*4=0.76KNM<0.11*1000*1/6*4*0.24*0.24=4.224KNM
当设置240*240构造柱时,
假设墙底高度3米时
经软件计算,构造柱按构造配筋可以满足要求
五、验算总结
1、在不设置构造柱和圈梁情况下,建议240厚墙体高度不超2m,370厚墙体不超5m;
2、设置构造柱和扶壁柱时,当距离在4m时,墙体高度可不超4m。
六、墙体结构画法
1、无洞口时
假设墙体高度3m,长度为6m,应设置3处构造柱,基础采用砖砌放大基础,基础上部设置圈梁,构造柱锚固在基础圈梁上



2、景墙留洞时,过梁配筋举例如下:
图示填充表示过梁,经计算,两种情况配筋一致,如墙顶部距离过梁很小,可采用外挂板的形式,详见下图。



(内容来源于网络,如有侵权请联系删除)
相关推荐:
知识点:景墙的结构知识
0人已收藏
0人已打赏
免费2人已点赞
分享
景观规划设计
返回版块25.18 万条内容 · 282 人订阅
回帖成功
经验值 +10
全部回复(0 )
只看楼主 我来说两句抢沙发