ACI 10.2 中描述了强度设计方法(strength design method)中使用的设计假设, 这些假设适用于受弯曲、轴向载荷或两者组合的构件设计。在 <强度设计方法的假设---应变兼容和极限压应变> 一文中讨论了钢筋混凝土的应变兼容性(平截面)和极限压应变假设. 这个笔记讨论对钢筋应力应变的假设---形象地来说, 强度设计方法的假设---应变兼容和极限压应变>钢筋的本构关系采用双直线模型.
2 钢筋的应力-应变关系
在强度设计方法中, 假设在屈服强度fy(f_sd, 抗拉强度设计值)之下, 钢筋内的应力fs等于钢筋的弹性模量Es乘以钢筋产生的的应变εs; 当钢筋产生的应变大于或等于fy/Es时应力等于fy.
显然, 真实的应力-应变曲线不完全是弹性关系, 如下图所示. 不过, 在屈服强度fy之前, 可以假设应力和应变之间存在线性关系。按照ACI 8.5.2, 所有等级钢筋的弹性模量可以假定为29000000psi(约等于2.0*10^5MPa)。

钢筋理想化的拉伸应力-应变曲线
注: 北美结构工程界和岩土工程界许多工程师仍然习惯使用英制单位, 最常用的应力单位是ksi和psi. 1ksi=6.895MPa, 因此
Grade 40 = 276MPa
Grade 60 = 412MPa
Grade 75 = 517MPa
中国规范按照钢筋种类不同, 给出了略有差异的弹性模量值, 如下表所示.

这个假设的第二部分意味着在强度计算中忽略了钢筋在屈服点以上的应变硬化效果, 如下图所示。

强度设计方法中使用的钢筋的理想化应力应变曲线
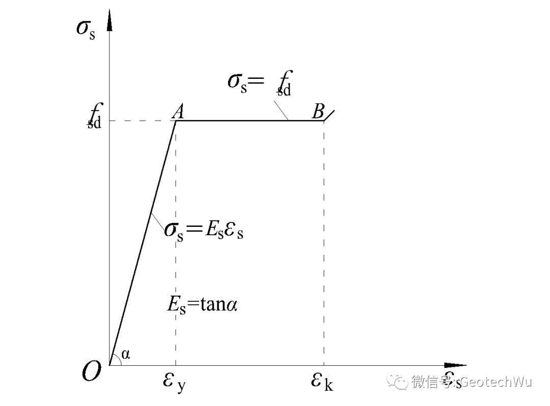
钢筋混凝土结构采用的普通钢筋为热轧钢筋, 下图所示的是 <公路桥规> 中热轧钢筋受拉的应力-应变关系图(与上图表示的意义一样). 公路桥规>


其中
---热轧钢筋应变为
时的钢筋应力;
---热轧钢筋抗拉强度设计值;
---热轧钢筋应力达到
时的钢筋应变;
---热轧钢筋弹性模量

受拉钢筋的极限应变
=
/
, 受压钢筋的极限应变
<公路桥规>
取为0.002。
公路桥规>
内容源于网络,如有侵权,请联系删除
相关资料推荐:
知识点:钢筋的应力-应变关系
0人已收藏
0人已打赏
免费4人已点赞
分享
混凝土结构
返回版块140.17 万条内容 · 2216 人订阅
阅读下一篇
钢筋混凝土梁的剪切破坏1 引言 如下图所示,施加在梁上的载荷会产生弯矩和剪力,在某些情况下还会产生扭矩。梁的设计通常是先考虑弯矩,因此要对截面尺寸和所需的纵向加筋量进行评估。此外, 还应该检查截面的剪切力以确定是否需要剪切加固(箍筋)。这绝不是说剪力不如弯曲重要。相反,由于其脆性,剪力会产生额外的拉应力, 通常由斜拉引发的剪切破坏比弯曲破坏更加危险, 因此在梁设计时必须考虑其剪切行为。 钢筋混凝土梁的剪切破坏,更恰当地称为"斜拉破坏",很难准确预测。
回帖成功
经验值 +10
全部回复(1 )
只看楼主 我来说两句 抢板凳看一下。。学习下这方面的内容
回复 举报