瑞士数学家Leonhard Euler (1707 - 1783)首次研究了细长柱(slender columns)在柱材料弹性极限(elastic limit)内的弯曲行为(buckling behavior)。Euler在1759年提出他所谓的欧拉方程。欧拉方程显示了引起柱弯曲的载荷与柱材料和刚度特性之间的关系。欧拉的柱模型,通常称为完美柱或纯柱(pure column),这个模型基于如下假设: (1) 柱端是无摩擦的铰接端(pinned end); (2) 柱是完全直的; (3) 荷载沿着中心轴施加; (4) 材料表现为弹性。

根据欧拉方程,可以计算出柱的临界弯曲载荷(Critical Buckling Load)Pcr, 如下式所示:
其中
E---材料的弹性模量;
I---截面的转动惯量;
L---柱的长度;
尽管欧拉方程可以计算柱的临界弯曲载荷, 不过这个公式有一些明显的局限性:
(1) 欧拉方程的临界弯曲载荷与材料的强度没有关系;
(2) 欧拉方程仅适用于因弯曲而破坏的长细柱;
(3) 欧拉方程不包含安全系数;
(4) 欧拉方程计算的压应力远低于材料弹性极限的柱中形成压应力;
(5) 欧拉方程假设柱端是无摩擦的铰接端.

为了考虑柱端点不同的边界条件, 使用了有效长度系数(Effective Length Factor)K这一概念, 因而临界弯曲载荷变成如下的形式:

其中KL为零矩点或沿长度拐点之间的距离, 长度KL称为柱的有效长度, K称为有效长度系数。K按照下图所示的边界条件取值.

<路桥规范>
中的取值来自于ACI规范的这个建议值, 不过在ACI规范中,也给出了一个推荐值,如上图所示.
路桥规范>

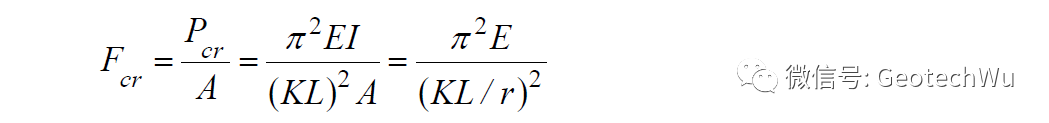
把上式中的Pcr除以截面面积A, 便可以得到柱的弯曲应力, 通过一系列变化, 演化成为下式:

在这里引入了变量r, r是截面关于弯曲轴线的回转半径(radius of gyration of the cross section)。(I = Ar^2), KL/r称为柱的细长比(slenderness ratio)。细柱的回转半径小,粗柱的回转半径大。细长比决定了弯曲破坏的弹性或非弹性模式。细长比小的柱子称为短柱。
(1) 短柱不弯曲,仅发生材料破坏;
(2) 长柱发生上述提及的弹性弯曲(elastic buckling)破坏;
(3) 界于短柱和长柱之间的区域, 发生非弹性弯曲(inelastic buckling)破坏.

内容源于网络,如有侵权,请联系删除
相关资料推荐:
知识点:长柱的临界弯曲载荷
0人已收藏
0人已打赏
免费3人已点赞
分享
混凝土结构
返回版块140.17 万条内容 · 2213 人订阅
阅读下一篇
受拉构件承载力计算1 引言 轴向受力构件根据外载荷是否通过截面形心分为轴心受力构件和偏心受力构件,而轴心受力构件又根据力的作用方向不同分为轴心受拉构件和轴心受压构件;偏心受力构件也包括偏心受拉构件和偏心受压构件,也就是通常所说的拉弯构件(Combined Tension and Bending)和压弯构件。 这个笔记简要总结了受拉构件的承载力计算. 由于在实际设计中, 基本上不考虑混凝土的抗拉强度, 而通过对受拉构件施加一定的预应力形成预应力混凝土, 因此本章受拉构件的承载力计算主要集中在偏心受拉构件. 这个笔记follow着课程进度[4/19/2021至4/25/2021 Week 7].
回帖成功
经验值 +10
全部回复(0 )
只看楼主 我来说两句抢沙发