一、西堠门大桥桥式方案:
舟山西堠门大桥为578+1650+485m双塔两跨连续钢箱梁悬索桥,按照交通部《公路工程技术标准》中四车道高速公路、计算行车速度80 km/h标准设计。

大桥设计施工中采用多项创新技术:加劲梁采用分体式流线型扁平钢箱梁、主缆采用1770MPa的高强镀锌钢丝索股、采用直升机架设先导索过海、加劲梁吊装采用无抛锚动力定位技术、穿越台风期架设加劲梁、桥面采用活动风障等。

大桥索塔塔身高211.286m,建成时为国内悬索桥第一高塔。塔柱起步段(承台以上上8m段)采用翻模法施工,其余各节段均采用液压自爬模法施工。整个塔柱共划分为51个节段,标准节段混凝土浇筑高度均为4.5m。横梁采用钢管支架法施工。




















西堠门大桥南锚碇(重力式嵌岩锚)总高度为50.30m,其顺桥向长度为70.7m,横桥向最大宽度为59.0m。锚块和散索鞍支墩为实体混凝土棱台结构,前锚室顶板、前墙及侧墙为板式结构;锚碇底面采用齿坎结构;采用预应力锚固体系。
南塔为门式结构,基础采用24φ2.8m挖孔灌注桩,东侧塔柱桩基桩长11.0m,西侧塔柱桩基桩长26.0m;承台尺寸为22.8×16.8×7.0m,为大体积混凝土结构;承台顶标高+22.0m,塔顶标高+233.286m,塔高211.286m,沿塔柱高度方向设置上、中、下三道横梁,其中下横梁高度9.5m,中、上横梁高度9.0m。










二、悬索桥计算原理

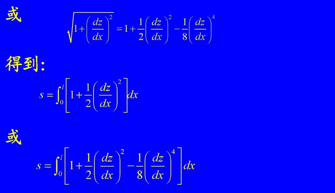
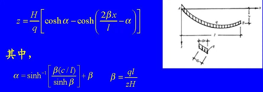
1、单索的计算理论























2 悬索桥计算的挠度理论






















相关资料推荐:
https://ziliao.co188.com/zbd79716.html
知识点:双塔两跨连续钢箱梁悬索桥桥式方案设计
0人已收藏
0人已打赏
免费4人已点赞
分享
桥梁工程
返回版块19.44 万条内容 · 655 人订阅
阅读下一篇
小箱梁桥设计指南,桥梁设计师都需要懂~小箱梁桥特点及适应范围 优点:小箱梁常用跨径为20~35m,作为装配式结构,易实现机械化、工厂化施工。因仅设端横隔梁,桥下视觉简洁,加之梁高较矮,在梁高受限、景观要求较高之处,具有一定的优势。结构适应变宽能力强,应用领域广。采用宽梁设计,在相同跨径结构中,具有一定的经济优势。结构暴露面少,负弯矩束锚头位于箱内,结构耐久性好。主梁刚度较大,在车辆荷载作用下主梁变形小、行车较舒适。施工稳定性好,易于维护。
回帖成功
经验值 +10
全部回复(0 )
只看楼主 我来说两句抢沙发