
一、钢箱梁桥的结构形式与总体布置

? 通常跨径小于60m时采用钢筋混凝土桥面板较为经济。
?通常跨径大于80m时采用钢桥面板较为经济。
?跨径60~80m时需要进行较为详细的技术与经济比较。








钢箱梁桥组拼工艺






顶推施工:


钢箱梁桥总体布置:













钢桥设计一般要求与基本原则


钢箱梁桥总体布置常见问题













二、钢箱梁桥主梁设计
? 钢箱主梁构造由顶板、底板、腹板焊接成闭口截面,箱内设置横隔板和纵横加劲肋。箱梁之间有横向联系时,还需要设置连接结构
? 主梁要求有足够的强度和刚度,主梁设计应该尽可能地使得截面以应力控制设计。梁高大约为跨径的1/20~1/30。

主梁—截面变化
? 调整主梁截面的方法有改变梁高和板厚两种方法。当跨径较小时,采用改变顶底板板厚、梁高与梁宽保持不变的方法,对钢箱梁制作、运输和安装较为方便;当跨径较大时,采用改变梁高的方法更加有效

主梁—翼缘板与加劲肋

翼缘板
箱梁悬臂部分不设加劲肋时,受压翼缘的伸出肢宽不宜大于其厚度的12倍,受拉翼缘的伸出肢宽不宜大于其厚度的16倍。
翼缘板应按以下规定设置纵向加劲肋:
?腹板间距大于翼缘板厚度的80倍或翼缘悬臂宽度大于翼缘板厚度的16倍时,应设置纵向加劲肋。
?受压翼缘加劲肋间距不宜大于翼缘板厚度的40倍,应力很小和由构造控制设计的情况下可以放宽到80倍。受拉翼缘加劲肋间距应小于翼缘板厚度的80倍。
?受压翼缘悬臂部分的板端外缘加劲肋应为刚性加劲肋。
主梁—翼缘板与加劲肋


主梁—截断及构造


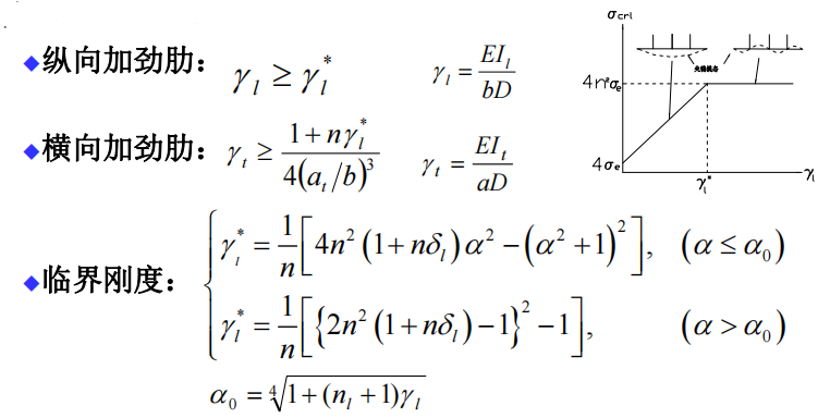
主梁—加劲肋
?主梁加劲肋包括钢箱梁顶底板的加劲肋和腹板加劲肋;
?箱梁腹板加劲肋构造和设计与工形钢板梁桥基本相同;
?钢顶底板的局部稳定分析,可以近似简化为由箱梁腹板和横隔板围成的四边简支加劲板;





?受压板件加劲肋
?受压加劲肋板宜采用刚性的加劲肋,构造布置困难或受力较小时可用柔性的加劲肋。
?对于受压加劲肋板刚性的加劲肋,其纵、横向加劲肋的相对刚度应满足以下要求:



?钢箱主梁结构图

横隔板
?横隔板分为中间横隔板和支点横隔板;
?横隔板的作用
?作用是限制钢箱梁的畸变和横向弯曲变形,保持箱梁的截面形状,对于支点横隔板还将承受支座处的局部荷载,起到分散支座反力的作用

支点处横隔板应符合以下规定:
?支点处必须设置横隔板,形心宜通过支座反力的合力作用点
?横隔板支座处应成对设置竖向加劲肋。加劲肋应满足本规范5.1.5条的要求,并按5.3.4条规定验算横隔板和加劲肋的强度,其中,相关公式中的腹板用横隔板代替
?横隔板与底板的焊缝应完全熔透
?人孔宜设置在支座范围以外的部分
非支点处横隔板应符合以下规定:
?横隔板应有足够的刚度和强度
?横隔板与顶底板和腹板可采用角焊缝连接













钢箱梁受力分析









构件扭转
?横向荷载未通过构件剪切中心,或有扭矩作用,将产生扭转












?约束扭转

?定义及受力特点


相关资料推荐:
https://ziliao.co188.com/d62756196.html
知识点:钢箱梁桥总体设计及主梁设计
0人已收藏
0人已打赏
免费8人已点赞
分享
桥梁工程
返回版块19.44 万条内容 · 655 人订阅
阅读下一篇
论CSW-PC箱梁无预拱度设计理论与方法波形钢腹板-预应力混凝土(CSW-PC)箱梁无预拱度设计理论与方法,是针对当前我国传统PC连续箱梁桥普遍存在“跨中持续下挠、腹板开裂”等顽症,提出的新理论和新方法。其核心是在PC箱梁中加入CSW,使梁根部和跨中高度增大,提高梁的抗弯刚度,实现恒载“零弯矩与零挠度”,达到“无预拱度”设计目标。
回帖成功
经验值 +10
全部回复(1 )
只看楼主 我来说两句 抢板凳楼主对箱梁设计分析的很详细
回复 举报