竖流式沉砂池设计计算

沉砂池的功能是利用物理原理去除污水中密度较大的无机颗粒污染物,如泥沙、煤渣等。他们的相对密度约为2.65,城市污水厂一般均应该设置沉砂池。
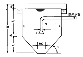
竖流式沉砂池是污水由中心管进入池内自下而上流动无机颗粒借助重力沉于池底, 竖流式沉砂池平面通常是圆形,竖向呈柱状,底部砂斗为圆锥体。沉渣的排除方式为重力排砂,处理效果一般较差。
竖流式沉砂池的设置位置同“平流式沉砂池”。
(1)沉砂池的格数不应少于2个,并应按并联系列设计,当污水较小时,可考虑一格工作,一格备用。
(2)沉砂池按去除相对密度大于2.65、粒径大于0.2mm的砂粒设计。
(3)最大流速为0.1m/s,最小流速为0.02m/ s 。
(4)最大流量时停留时间不小于20s,一般采用30-60s
(5)进水中心管最大流速为0.3m/s
某城市污水处理厂是最大设计流量为0.2 m?/s,中心管流速υ1=0.3 m/s,池内水流上升流速υ2=0.05 m/s,最大设计流量时的流行时间t=30/s,总变化系数Kz=1.50,沉砂每2d清除一次。求竖流式沉砂池各部分尺寸。

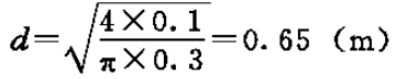
(1)中心管径d,m
![]()
式中:υ1-污水在中心管内流速,m/s υ1=0.3 m/s
设沉砂池格数n=2,每格最大设计流量
Qmax=0.2/2
=0.1(m?/s)
![]()
(2)池子直径D,m

式中:υ2-为池内水流上升流速,m/s
![]()
(3)水流部分高度h2,m
h2=υ2*t
式中,t为最大流量时的流行时间,s,t=30s
h2=0.05*30
=1.5m
(4)沉砂部分所需容积V, m?
![]()
式中 X-城市污水沉砂量,m?/1000000 m?污水,取X=30m?/1000000 m?污水
T-两次清除沉砂相隔的时间,d,T=2d
Kz-生活污水流量总变化系数,Kz=1.5
![]()
(5)每个沉砂斗容积V0, m?
V0=0.69/2
=0.35(m?)
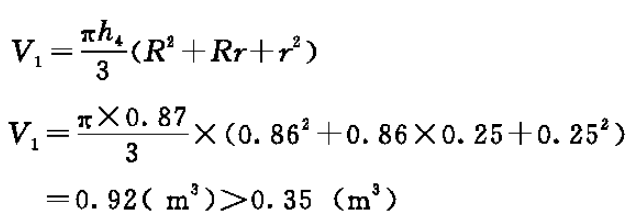
(6)沉砂部分高度h4,m
h4=(R-r)tanα
式中:R-池子半径,m
r-圆截锥部分下底半径,m
α-截锥部分倾角,°
取沉砂室锥底直径为0.5m,圆截锥部分下底半径为0.25m
则:h4=(R-r)tanα
=(0.86-0.25)tan55°
=0.87(m)
(7)圆截锥部分实际容积V1,m?

(8)池总高度H,m
H=h1+h2+h3+h4
式中:h1-超高,m,取0.3m
h3-中心管底至沉砂面的距离,一般采用0.25m
则:H=h1+h2+h3+h4
=0.3+1.5+0.25+0.87
=2.92(m)
(9)排砂方式
采用重力排砂或者涉水器排砂
内容源于网络,旨在分享,如有侵权,请联系删除
相关资料推荐:
污水处理厂竖流式沉砂池剖面图及设计说明
https://ziliao.co188.com/d60811684.html
知识点:竖流式沉砂池设计计算
0人已收藏
0人已打赏
免费4人已点赞
分享
中水处理回用
返回版块9852 条内容 · 214 人订阅
阅读下一篇
钟式沉砂池设计与选型旋流沉砂池之钟式沉砂池设计选型 这几天在整理有关旋流沉砂池的设计及选型,针对网上的资料,经常把比式沉砂池和钟式沉砂池混为一谈。 虽然他们都属于旋流沉砂池的一种,但是他们的池型,除砂机理以及提砂方式均有着很大的区别,到底哪种池型在实际应用钟效果会更好,目前还没有资料进行比较,但是相比较其他沉砂池(平流式、辐流式、曝气式)具有占地省,操作环境好等优点。
回帖成功
经验值 +10
全部回复(1 )
只看楼主 我来说两句 抢板凳看一下。。学习下这方面的内容
回复 举报