1 旋流沉砂池运行原理
旋流沉砂池具有占地省、除砂效率高、操作环境好、设备运行可靠等优点。污水经进水口以切线方向流入旋流沉砂池内,驱动机构经减速机带动旋转轴转动,以保持池体内水流0.3-0.4m/s流动。小型池的转速范围为10-15r/min,而中型以上则只有10-12r/min。搅拌桨叶搅拌池体内污水形成环流,池体内的砂粒在离心力的作用下被甩向池壁,进而沉积于池底。
鼓风机向气冲管中输入高压空气,其排出口设在在砂斗中,进而可以冲散贮砂区的砂粒,使得沉积的砂粒松动,同时也可以去除附着在砂粒表面的有机物。随后鼓风机经气提管向空气管输入高压空气,砂斗底部的砂粒流态化,与污水一起经排砂管排至砂水分离器内。
目前的旋流沉砂池可以在气冲、气提、排砂管上设置电磁阀,便于自动控制旋流沉砂池的排砂过程。为了尽量减少堵塞所带来的不利影响,可以在气冲管道、气提管道上设置三通,三通的一端用堵头封死,堵塞时打开,插入软管,可以通过高压空气或高压水流进行冲洗,清洗完毕后拔出软管,重新封死堵头。

2 构筑物尺寸设计
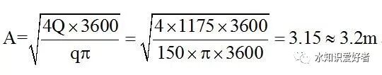
1)最高时流量对应的停留时间t:35s(规范取值不应小于30s)。
2)设计水力表面负荷q:150 m3/(m2·h)(规范取值宜为150-200m3/(m2·h)。
3)有效水深宜为J:1.0-2.0m,池径与池深比宜为2.0-2.5。
4)池中应设置立式浆叶分离机。
5)污水的沉砂量可按每m3污水0.03L计算。
6)砂斗容积不应大于2d的沉砂量,采用重力排砂时,砂斗斗壁与水平面的倾角不应小于55°。沉砂池除砂宜采用机械方法,并经砂水分离后储存或外运,采用人工排砂时,排砂管直径不应小于200mm。排砂管应考虑防堵塞措施。
7)沉砂池直径A:

8)沉砂池有效水深h:

9)沉砂量V砂:

式中:V:沉沙量,m3;Qmax:最高日污水流量,m3/s;X:城市污水沉沙量,一般取值30m3/106m3;T:清除沉砂的间隔时间,d;Kz:生活污水流量总变化系数。
10)贮砂区上口直径B取值1.5m,沉砂区与贮砂区过渡段坡降G取值0.6m。
11)沉砂区实际总容积V实为(考虑过渡段容积):

12)沉砂区的实际停留时间t实:

13)贮砂区总高度F取值1.25m,贮砂区下口直径E取值0.4m(一般取值0.4-0.6m),则锥形斗高度0.55m,贮砂区圆柱体高度为0.75m。
14)贮砂容积V砂:

15)综述:沉砂区直径A:3.2m;沉沙区水深J:1.4m;过渡段水深G:0.6m;贮砂区上口直径B:1.5m;贮砂区下口直径E:0.4m;贮砂区总高度F:1.30m;贮砂区锥形高度:0.55m;沉砂区水力停留时间43s;贮砂区总贮砂容积1.7m3;考虑0.3m超高,总高度为0.3+1.4+0.6+1.3=3.6m。
3气提原理
利用管内外液体的密度差来提升混合液,即将升液管放在淹没深度为H的水中,从空气管连续向升液管中注入符合要求的压缩空气,由于升液管内外液体的密度差(一般上升的水气溶液相对密度为0.25-0.35左右),升液管内的混合液上升至L,在上升过程中形成抽力,同时在管外液体压力共同作用下,混合液不断流入出口。
以A点为例,建立液体压力平衡方程:

从上述公式可以看出,在H一定的情况下,混合液密度ρ越小,提升高度越大,此时需要消耗的气量越大。当然淹没深度越大,提升高度亦越大。

4 气提计算
一般空气用量为最大提升泥沙混合液流量的3-5倍,升液管的最小直径为压缩空气管的3倍以上,一般情况空气管管径最小25mm,升液管管径最小75mm。
空气量计算:

式中:QL:空气用量,m3/h;QS:砂水混合液流量,m3/h;L-H:提升高度,m;H:淹没深度,m;K:安全系数,一般取值1.2-1.3。
风压计算:
P≥H+2
单池每天的沉砂量为0.6m3/d,沉砂含水率按3%计,则每天的砂水混合液为20m3/d。假设H=3m,L-H=1.2m,(L-H)/H=0.4,所需风压P=3+2=5m(1kg/cm2=0.1MPa=10m),气提系统一天工作48次,每次工作3min,砂水混合液流量Qs=8.3m3/h,所需空气量:

由于2格合用一套风机系统,一套砂水分离器系统,则风机系统的总供气量为48m3/h,约0.8m3/min,所需风压50KPa;砂水分离器的设计流量为16.6m3/h,约4.6L/s。
气提的一个不可避免的问题是提砂高度问题,由于气提依靠的是气水混合液与水密度差,其提砂高度较低,给工程中管道布置带来问题,推荐的提砂高度:淹没水深≦40:60。考虑到实际运行中的水位波动,按最不利情况考虑,设计会受到很大限制。另外实际污水厂中搅拌轴一般是24h连续运转的,但排砂系统则是间隔运转的。
5 气提装置
气体装置主要由空气提升装置及压缩空气源组成,压缩空气源可由空压机或鼓风机提供。鼓风机的压力比较小(通常不会超过1kg/cm2)而流量大,空压机的压力可以大(一般都在7kg/cm2左右)但流量小。以某气提设计为例介绍各管道的设计参数:
气冲管:管径φ45mm,偏心65mm穿过外壳上下盖板焊接密封,管口距离外壳下盖板200mm,管内气流速度5~7m/s,空气压力0.8bar,作用是吹动沉积在池底的积砂。
气提管:管径φ45mm,偏心65mm焊接在外壳的上盖板,管口与外壳内部连通,管内气流速度5~7m/s,空气压力0.8bar。作用是通入压力空气,压力空气快速通过提砂器,带动水、砂混合液体从提升管排出。
排砂管:管径φ108mm,偏心20mm穿过外壳上下盖板焊接密封,管口距离外壳下盖板200mm,提升管在外壳的内部部分加工8个通气槽,平均分布。提升管直径过小,抽水量受到限制;直径过大,升水产生间断,甚至不能升水。提升管的直径与水、气、砂混合物的流量、流速和提升高度等因素有关,一般可按水气砂混合物流出管口前流速3-5m/s来计算管径。
外壳:是一个圆柱形的密闭腔体,直径190mm,高度200mm,吹砂管和提升管从上下盖板穿过,提砂管焊接在外壳的上盖板,与腔体连通。
相关资料推荐:
https://ziliao.co188.com/d59314990.html
知识点:旋流沉砂池设计
0人已收藏
0人已打赏
免费3人已点赞
分享
中水处理回用
返回版块9852 条内容 · 214 人订阅
阅读下一篇
解剖30座曝气沉砂池,设计、计算、故障、对策一目了然!SS中的无机成分,特别是硬度较大的无机砂粒,只能通过沉砂池来去除。 如果不设置沉砂池或运行不良 ,会对后续污水处理工艺产生诸多隐患。 导致污水处理厂设备磨损:初沉池污泥刮板的磨损、污泥泵叶轮磨损、曝气池曝气孔堵塞、影响脱水设备运行; 降低反映构筑物效率:堵塞管道降低管道运输能力、降低生化反应池的有效容积; 增加工艺处理负荷:增加后续沉淀池污泥负荷; 影响在线监测设备的准确运行等。
回帖成功
经验值 +10
全部回复(0 )
只看楼主 我来说两句抢沙发