知识点:接地短路电流
随着电力网络容量的增大,短路电流也越来越大,接地系统是维护电力系统可靠运行、保障运行人员和电气设备安全的重要措施。入地短路电流计算是设计接地网的基础。
若入地电流计算偏小,接地网的电阻满足不了要求,短路故障情况下就可能会直接危及安全。调查表明,我国曾发生多起由于接地系统的接地电阻未达到要求而导致的事故或事故扩大。反之,若入地电流计算偏大,盲目采取扩大地网或其他降阻方法,就会造成经济浪费。因此,设计接地网之前,需要准确计算发生对地短路时的入地电流。
本文对发电厂接地计算中的入地短路电流计算进行探讨。指出了目前接地网计
算中容易存在的误区,分析了架空地线对接地电流的分流作用,并推导了不同中性点接地方式下,发电厂内、外发生接地故障时的入地短路电流的计算公式。
基本概念:1. 最大短路电流:设计发电厂进行设备选择时,都需要进行短路电流计算。短路电流是电力系统在运行中,相与相之间或相与地 ( 或中性
线) 之间发生非正常连接 ( 即短路) 时流过的电流。三相系统中发生的短路有四种基本类型: 三相短路、两相短路、单相对地短路和两相对地短路。
通常,设计部门给出的最大短路电流是三相短路电流。有的设计人员采用三相
短路电流进行接地网设计,从而造成入地短路电流的计算值偏大或偏小,接地网设计过于保守或冒进,都是不合理的。与地网有关的计算应考虑入地短路电流,带入计算的应是不对称短路电流值。用三相短路电流进行接地网计算是目前接地网设计中的误区。
本文认为
接地网设计中采用的最大短路电流值应取单相接地短路电流和两相短路接地电流两者之中较大的一个。
两相短路接地故障时,用单个故障相短路电流作为接地最大短路电流,会造成接地最大不对称短路电流计算值不准确,也是目前接地网设计中的一个常见误区。因此,明确接地网计算所需的最大短路电流是设计接地网的基础。
2. 入地短路电流:厂或所内和厂或所外发生接地短路时,流经接地装置的电流为入地短路电流。分流系数的定义: 接地故障时,流经架空地线或电缆线路
外护套的故障电流,与没有架空地线或电缆线路外护套作用时流经地网电流之比。
通常入地短路电流即经接地网流入大地的电流,其与中性点运行方式、避雷线的分流作用以及接地故障发生地点等有密切的关系。
电力系统同时发生多重故障的几率很小,可以忽略。基于实际情况,这里只考虑单一故障条件下的短路电流计算。对于接地计算来说,只计算单相接地故障和两相短路接地故障情况下的短路电流。电力系统不对称故障情况下的电流、电压计算通常采用复合序网法。
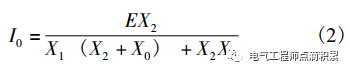
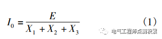
对于高压系统,忽略电阻及故障点的接地阻抗影响,单相接地故障的零序电流 I0 可简化表示为:


式中,X1、X2 和 X0 分别为序网的正序、负序和零序综合电抗。
用 Imax 表示通过大地的故障电流,则 Imax= 3I0。
最严重故障通常会导致最大的零序电流,即最大不对称短路电流。由式 (1) 、式 ( 2) 可得: 若 X1 X0 > X2平方,则单相接地故障较严重; 反之 X1 X0 < X2平方,则两相短路接地故障严重。
通常情况下 X1 与 X2 几乎相等,因此判断标准可简化为 X0 与 X2 的大小关系。由此可方便地判断出哪种接地故障更为严重,选择较严重故障情况下的接地电流即最大不对称短路电流,用于接地导体截面的选择。

式中,S 为水平接地体的最小截面积,mm2; Imax为流过水平接地体的短路电流稳定值,A; te 为短路等效持续时间,s; c 为接地材料的热稳定系数。
计算入地短路电流是分析接地网是否满足要求,进行接地电压升 ( GPR) 、跨步电压及接触电压计算的前提。以下详细分析不同中性点接地方式下,发电厂厂内、外发生接地故障时入地短路电流的计算。
厂内故障,中性点在厂内和厂外都接地时,入地短路电流可按下式计算:

式中,Imax为不对称接地故障时的最大接地短路电流; In 表示发生接地故障时,流经发电厂接地中性点的短路电流; Kel为厂内故障时避雷线的分流系数。
厂外故障,厂内有中性点接地点时,入地短路电流如下式:
厂内故障,中性点在厂内不接地,只在厂外接地时,入地短路电流如下式

计算入地短路电流之前,首先需要确定所研究系统的中性点接地方式。若系统中性点在厂内接地,则入地短路电流值取式 ( 4) 、式 ( 5) 中较大的一个。反之,按式 ( 6) 计算。
此外,接地设计中初步估算避雷线的分流系数一般为: 厂内短路取 0. 5,厂
外短路取 0. 1。这里认为,不同工程出线回数不同,避雷线安装绝缘装置与否也会影响到分流系数的大小。
1) 求解系统发生不对称接地故障时的最大接地短路电流。
3) 若中性点在厂内接地,计算流经发电厂接地中性点的短路电流,分别计算厂内、厂外故障时避雷线的分流系数,并取式 ( 4) 、式 ( 5)计算值中较大的一个; 反之转入步骤 4) 。
4) 计算厂内故障时避雷线的分流系数,用式 ( 6) 计算入地短路电流。
由此计算出水平接地体的最小截面,然后按腐蚀率计算水平接地体的实际截面,确定接地体截面。
相关推荐链接:
1、厂区照明及单相接地短路电流计算
2、大接地短路电流系统的接地网实用计算
全部回复(0 )
只看楼主 我来说两句抢沙发