土木在线论坛 \ 施工技术 \ 工地图片 \ 减缩剂对泡沫混凝土收缩的影响

减缩剂对泡沫混凝土收缩的影响

发布于:2022-09-15 16:26:15 来自:施工技术/工地图片 [复制转发]
 泡沫混凝土因具有轻质保温隔热、防火抗震、隔音 等多 种 功 能 而 备 受 青 睐年 产 量 接 近1.7×107 m3. 但高气孔率、 高胶凝材料含量和骨料缺乏等因素导致泡沫混凝土在干燥环境中失水快干缩大并且高胶凝材料含量造成较大的化学收缩促使泡沫混凝土表现出较大的自收缩显著的干缩和自收缩在缺乏骨料的限制下宏观上表现出较大的体积变形当变形受到约束时易开裂开裂会使其热工力学等性能劣化影响后续使用.目前控制泡沫混凝土收缩的手段主要有掺加纤维掺 加 膨 胀 组 分降 低 水 胶 比添 加 矿 物 掺 合 料等但是掺加纤维和膨胀组分只是限制或补偿水泥石的收缩 , 降低水胶比和添加矿物掺合料也难以避免水分耗散也难以有效控制收缩减缩剂(shrinkage-reducing admixtures 简称 SRA) 通过降低水泥石孔溶液表面张力减小毛细孔失水应力降低干缩值和自收缩值并且 SRA 使水泥石在早期有一定的膨胀能力 有利于改善自收缩目前, SRA 在泡沫混凝土中的应用国内外还鲜有报道本文通过掺入两种减缩剂在水灰比为 0.33 和0.50 的条件下研究减缩剂对泡沫混凝土干缩自收缩及孔结构的影响旨在探究一种有效改善泡沫混凝土收缩的方法为泡沫混凝土的实际工程应用提供帮助.
2 
实 验
2.1 原材料
      水泥北川中联水泥厂生产的 PO42.5R; 减缩剂(S1): 主要成分为成都科龙化工试剂厂生产的二元醇类试剂分析纯); 减缩剂( S2): 江苏博特新材料公司无减水作用推荐掺量为胶凝材料的1.5%~2%;聚羧酸减水剂西卡四川柯帅外加剂有限公司生产的KS-JS 50M 型聚羧酸类减水剂动物发泡剂购自河南华泰建材开发有限公司.
2.2 泡沫混凝土制备方法
      按照表 1 的配合比将水、 SRA 和减水剂制成水溶液加入到水泥净浆搅拌机中与水泥搅拌制成大流动度料浆高速机械搅拌发泡剂溶液(发泡剂): m() =1:20), 制备密度为35kg/m3 的泡沫按照表1 所示加入泡沫将泡沫均匀混入料浆中浇筑成型,养护.

2.3实验方法
2.3.1绝干容重
      试块尺寸为 70.7 mm×70.7 mm×70.7 mm, 成型24 h 后脱模置于温度(20±2) ℃ , 湿度(60±5) %环境中养护规定龄期参考 JG/T266-2011? 泡沫混凝土?测定绝干容重.
   2.3.2 
干缩与自收缩
      干缩成型尺寸为25 mm×25mm×280mm 的试块, 24h 脱模后置于温度(20±2) ℃ , 相对湿度(60±5) %的环境参照 JC/T603-2004? 水泥胶砂干缩试验方法?测定 1, 2, 3, 4, 5,6,7, 14, 21和28d 干缩值和质量; 自收缩测试试块成型、 测试、 养护条件与干缩一致,区别在于试块拆模后表面采用铝箔密封.
图片
2.3.3 表面张力
      按参照 文 献 配 制 模 拟 孔 溶 液, 配 制 溶 度 为0.35 mol/L KOH 和 0.05 mol/L NaOH 的高碱溶液,加入减水剂( 仅 W/C= 0.33时加入减水剂, 掺量为水质量的0.95%) 和 SRA(动物蛋白在强碱溶液中容易失去活性, 故在模拟孔溶液中未加入发泡剂), 配制浓度为 0~10%的 SRA 溶液, 用德国克吕士公司 DSA30 型表面张力测定系统测定溶液的表面张力.
2.3.4氮吸附法、 压汞测孔仪法及 XRD
      将28d 测试干缩的样品, 无水乙醇终止水化, 真空干燥, 用于测定孔结构, 将3,7 和28d 测试自收缩样品用无水乙 醇 终 止 水 化, 用 于 获 得 对 应 龄 期 水 化 产 物XRD 图谱. 压汞法(MIP) 测试微孔结构时, 汞在外界压力下易破坏孔结构, 造成测试结果不准确, 而氮吸附(BET) 适合全面地测定小毛细孔和微孔[13] . 考虑两者测试孔径范围, 采用 BET 测定小于10nm 的小的毛细孔和部分凝胶孔, 而 MIP 测定大于10nm 的大的毛细孔. BET 采用美国康塔公司 NOVA3000 高速自动比表面 与 孔 隙 度 分 析 仪 测 定, MIP 采 用 美 国 麦 克 公 司AutoPore Ⅳ9500测定, XRD 采用荷兰帕纳科公司 X’Pert PRO 型测定(步长 0.03°, Cu 靶).
3 结果与讨论
3.1 SRA 对泡沫混凝土孔溶液表面张力及孔结构的影响
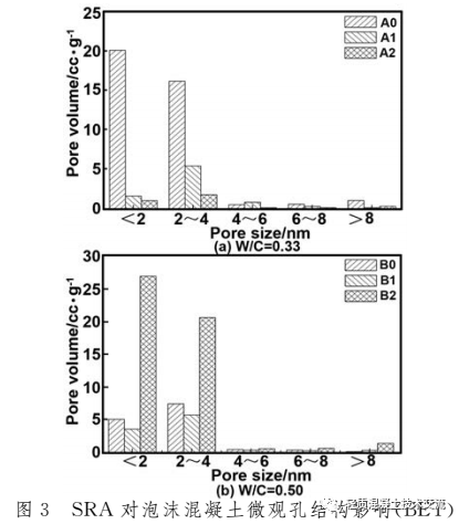
      SRA 是 一 种 能 够 降 低 溶 液 的 表 面 张 力 的 外 加剂 , 如图 1 所示, 随着 SRA 的浓度增加, 模拟孔溶液的表面张力下降, 之后趋于稳定, 且 S2降低孔溶液表面张力能力比 S1 大. 由于受 SRA 溶液中临界胶束浓度( critical micelle concentration 简称 CMC) 的影响,过量的 SRA 也无法进一步降低溶液的表面张力, S1和 S2 的 CMC 大约为8%, 故后续实验选择 SRA 浓度为 8%的拌合水制备泡沫混凝土.配制浓度为 8% 的 SRA 溶液充当拌合水溶液, 研究 SRA 对泡沫混凝土毛细孔的影响, 如图2和3所示. 泡沫混凝土由硬化水泥浆和各个尺度的孔组成,孔径分布涵盖大孔( 10~0.05μm)、 大的毛细孔(50~10nm)、 小 的 毛 细 孔 (10 ~2.5nm)、 凝 胶 孔 ( 小 于2.5nm) 及 由 表 面 活 性 剂 等 引 入 的 气 孔 ( 大 于10μm) [13] . 掺入 S1后, 小于100nm 的孔的数量均小于对照组. 当 W/C 为0.05时, S1的掺加, 使1μm 左右的孔细化, 而当 W/C 为0.33时, 400nm~1μm 范围孔数量降低. W/C 为 0.33时, 掺入 S2 使小于10和80nm 左右的孔减少, 但增加了30nm 左右的毛细孔,而 W/C 为 0.50 时, 10~100nm 范围孔数量均小于对照组, 但小于 4nm 的孔数量明显多于对照组.
图片
3.2 SRA 对泡沫混凝土干缩的影响
      当孔内湿度大于环境湿度时, 孔内失水形成凹液面, 产生附加应力诱发干缩. 但大孔对孔溶液束缚作用小, 失水对干缩影响小. 大的毛细孔失水一般在湿度>80%的环境, 小的毛细孔失水一般湿度在80%~50%之间, 且小的毛细孔失水产生毛细孔应力大得多,对干缩影响更大 . 当水灰比为 0.33与0.50, 环境相对湿度为60%时, SRA 对泡沫混凝土的干缩影响见图4所示.
图片


图片
      随龄期的增长, 泡沫混凝土干缩值逐渐增大, 随后趋于稳定, 且干缩主要集中在 7 d 之前; 掺入 S2 使泡沫混凝土干缩在 7 d 之后趋于稳定, 而 S1 较 S2 则稍有滞后, 但早于对照组稳定; S1 使泡沫混凝土干缩值减小44.1%(W/C=0.50)、 43.5% ( W/C=0.33), S2 掺入降低干缩值 59.1%(W/C=0.50)、55.3%(W/C=0.33).从图 4 可以看出, 泡沫混凝土失水主要集中在 7d以内, 掺入 S2, 7 d 之后失水量开始趋于稳定, 掺入 S1较 S2 稳定期滞后, 对照组失水稳定期出现最晚, 由水分耗散而引起的干缩与水分散失曲线存在良好的相关性. SRA 的引入使泡沫混凝土失水量和失水速率均大于对照组, 主要是 SRA 降低溶液表面张力, 毛细孔对孔溶液束缚作用降低, 易失水, 失水速率加快. 掺加 S2的孔溶液表面张力下降幅度较 S1 大, 故掺入 S2 的泡沫混凝土蒸发速率大于 S1. 失水稳定时, 掺入 S1、 S2后失水量的差异主要是: 掺加 S1 的泡沫混凝土干容重小于 S2 ( 如表 1 所示), B1、 A1 的总孔隙率分别大于B2、A2, 存在孔内的可迁移的水分 B1 >B2、 A1 >A2.当暴露在干燥环境中, 水分迁移, 导致最终量 B2<B1、A2<A1.一方面, 由 Young-Laplace 公式可知
图片
      式中,σ cap、γ 、r 、θ 分别为毛细管应力、 孔溶液表面张力、 毛细管半径及固液相接触角, SRA 使毛细孔溶液表面张力γ 减小, 降低毛细管收缩应力σ cap, 减小干缩值; 另一方面, 掺入 S1 后, 毛细孔的数量减少, 干缩降低. 但是, 在 0.33 水灰比条件下, 掺入 S2, 30 nm 左右的大的毛细孔数量增多, 小于 4 nm 的小的毛细孔数量减小. 从 Young-Laplace 公式可知, 小的毛细孔失水产生的收缩应力σ cap 远大于大的毛细孔失水产生的收缩应力. 在干缩现象中, 小的毛细孔数量改变对泡沫混凝土的干缩起主导作用. W/C=0.50 时, 小的毛细孔数量的增加将极大地增大毛细管应力σ cap. 但是, 孔溶液表面张力降低使σ cap降低占主导, 干缩最终仍变小.
3.3 SRA 对泡沫混凝土自收缩的影响
      SRA 在减小泡沫混凝土干缩的同时, 也有利于改善自收缩. 如图5所示, 掺入 S1、S2均改善了自收缩.
图片
      掺 入 S1, 28d 自 收 缩 值 下 降 51.9% ( W/C =0.50)、48.9%(W/C=0.33), 掺入 S2, 28 d 自收缩值减小 44.1%( W/C=0.33). 当 W/C=0.50 时, 掺入 S2,泡沫混凝土仍存在微膨胀.SRA 对泡沫混凝土水化造成了一定影响, 如图 6所示, Ca ( OH )2 和 C2S 的 特 征 峰 变 化 较 为 明 显.W/C=0.50和 0.33 时,3, 7 d 的 Ca( OH) 2特征峰强为A0>A2>A1、 B0>B2>B1, C2S 的特征峰峰强为 A0小于 A1、A2, B0 小于 B1、B2. 在28 d 时, Ca(OH) 特征峰强 B2>B0>B1, A2>A0>A1, 各组 C2S 的峰强差异不明显. SRA 造成水泥水化不同程度的延迟, 早期 C2S 水化延迟, 利于自收缩减小, 同时, Ca(OH) 2在溶液中过饱和度增加, 早龄期的 Ca(OH) 2 结晶受到抑制, 晶粒较小, 特征峰峰强较小造成微膨胀. 微膨胀和水泥水化的变化使泡沫混凝土自收缩得到改善.
图片


4 结 论
      (1) 泡沫混凝土的失水和干缩主要集中在7d以内.
     (2)  SRA 
可以有效降低孔溶液表面张力但掺量超过 CMC 之后降低幅度不明显.
      (3)  SRA 
影响泡沫混凝土毛细孔的数量掺入S1, 毛细孔数量减少但是在 0.33水灰比下掺入S2,30 nm 左右的大的毛细孔增加小于 4 nm 的小的毛细孔数量减少当水灰比为0.50 小于4nm 的小的毛细孔数量增加不利于干缩的改善.
     (4)  SRA 
对泡沫混凝土干缩的影响取决于其对毛细孔数量和孔溶液表面张力影响的权重. SRA 对泡沫混凝土自收缩的改善主要取决于泡沫混凝土早期水化的改变与试块早期微膨胀的大小.


推荐资料(点击文字跳转)

减缩剂对混凝土性能的影响

减缩剂在楼板梁裂缝控制中的应用

知识点:减缩剂对泡沫混凝土收缩的影响

  • daghy
    daghy 沙发

    看一下。。增加下这方面的知识

    2022-09-15 16:38:15

    回复 举报
    赞同0

工地图片

返回版块

50.2 万条内容 · 382 人订阅

猜你喜欢

阅读下一篇

海砂对混凝土都有什么影响?

海砂是指分布于海岸和浅海的、以中粗砂为主、包括部分细砂和砾石的砂质堆积物。由于海砂中含有一定含量的氯盐,将可能导致混凝土结构中钢筋锈蚀,进而降低混凝土结构耐久性,所以一些地区是严禁使用海砂作为混凝土原料的 。 海砂危害 1、海砂含盐分高,极易出现氯离子腐蚀钢筋的情况。

回帖成功

经验值 +10