土木在线论坛 \ 电气工程 \ 继电保护 \ 介质损耗正切角的简单介绍

介质损耗正切角的简单介绍

发布于:2022-09-15 15:55:15 来自:电气工程/继电保护 [复制转发]

知识点:介质损耗

何为介质损耗正切角?

介质损耗角又称为介电相位角。它是交流电压下电介质中的有功分量和无功分量的比值,是一个无量纲的数,反应的是电介质内单位体积中能量损耗的大小,反应电介质在交变电场作用下,电位移与电场强度的相位差。

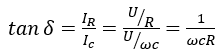
当对电介质施加交流电压时,在交变电场作用下,如果电介质中没有能量损耗,那么弹性极化所引起的是纯电容电流IC,且IC超前电压90°。但实际上无损的电介质是不存在的,任何电介质或多或少都存在着一定的损耗,所以在交流电压作用下,电介质都会因为电导、游离和松弛极化而引起一定的电导电流IRIR就是总电流的有功分量,即损耗电流。如果把电介质看做一个由电阻R与理想的无损电容C并联而成的等值电路,相应的向量图如图所示。

图片

由向量图可以看出,由于IR的存在,实际流过介质的电流I是一个小于90°的角度ψ。这个角度的余角就是介质损耗角,记为δ。

图片

此即为介质损耗正切角。

介损正切值的判断标准


(1)与标准比。测得的介损值不应超出有关标准的规定。

(2)纵向比较。将测得的介损值与被试设备历史测得的数据相比较。

(3)横向比较。将测得的介损值与其他同类型设备相比较。

测得的介损值没有超出标准,但是在横向和纵向比较中有明显变化时,同样应考虑绝缘是否受损。

图片

接线方式

介质损耗正切角的测量可以通过西林电桥或新型数字式精密测量仪测量。通常用到的接线方式有正接法反接法

图片
图片

正接法接线时,被试品一端接高压,另一端接至电桥的低压端,被试品必须与地绝缘。这种接法使得电桥内部不受强电场干扰,所以准确度较高。

反接法接线时,被试品一端接电桥的测量端,另一端接地。由于大多数电气设备采用保护接地,即设备的金属外壳直接放在接地底座上,被试品一端往往是固定接地的,这时就只能采用反接线方式。

影响介损测量结果的因素

在做介质损耗正切角测量工作时,以下因素会影响到测量结果:

(1)温度。介损值是随着温度上升而增加的,现场试验时,设备温度是变化的,为了便于比较,应将不同温度下测得的介损值换算到20℃的值。

(2)湿度和脏污。湿度和脏污会使被试品表面泄露电流增大,还会出现夹层极化,因而介损值会增加,此时可以考虑加屏蔽环消除影响。

(3)试验电压。绝缘良好的介损值不随电压的升高而明显增加。但如果绝缘内部有缺陷,则介损值会随着试验电压的升高而明显增加。

图片

补充说明

介质损耗正切角可以用于检测绝缘普遍受潮,脏污或老化,以及局部放电等绝缘缺陷。但是也存在局限性,其只能反应绝缘的分布性缺陷,如果是集中性缺陷,则测量介质损耗正切角的反应就不太灵敏。所以对于电容量大的设备建议分解测量。


相关推荐链接:

1、数字化测量介质损耗角的方法

2、介质损耗测试仪使用说明书



全部回复(0 )

只看楼主 我来说两句抢沙发
这个家伙什么也没有留下。。。

继电保护

返回版块

7.33 万条内容 · 486 人订阅

猜你喜欢

阅读下一篇

线路、设备泄漏电流汇总表,不收藏起来太可惜了!

知识点:泄露电流 泄漏电流:沿不希望的绝缘途径流过的电流。泄漏电流由泄漏电流试验测定。泄漏电流专试验,一般是直流泄漏电流试验。泄漏电流试验可发现绝缘物的硬伤、脆裂等缺陷。发电机、交流电动机、变压器和电抗器、油断路器和空气断路器、电力电缆、避雷器等高压设备投入运行前应按规定做泄漏电流试验。绝缘手套、绝缘靴、绝缘垫等电工安全用具亦应按规定,定期做泄漏电流试验。 装设剩余电流保护 RCD 要考虑避开回路正常泄漏电流,但泄漏电流怎么计算出来呢?我们继续往下看。

回帖成功

经验值 +10