知识点:介质强度







4.1 极不均匀电场
实测表明,极不均匀电场气隙的击穿特性处于“棒-棒”气隙和“棒-板”气隙两种极端情况的击穿特性之间。因此,实验室通常只研究这两种极端情况下的击穿特性。对于实际工程中遇到的各种极不均匀电场气隙,可按电极的对称程度选用这两种极端气隙的击穿特性曲线来估计其电气强度。例如在估算相间导线气隙的击穿电压沿用“棒-棒”气隙的击穿特性,在估算导线对地气隙的击穿电压时采用“棒-板”气隙的击穿特性。
4.2 直流电压的击穿特性
直流击穿电压和间隙的距离近似成正比。下图给出实验得到的气隙间距小于10cm时,“棒-棒”气隙和“棒-板”气隙的直流击穿电压和气隙间距的关系。棒-板气隙的极性效应比较明显,负极性的击穿场强约为20kV/cm,正极性的为7.5kV/cm。棒-棒气隙的击穿特性介于上述两者之间,击穿场强约为4.8-5kV/cm,且极性效应不明显。

随着特高压直流输电技术的发展,有必要掌握更大极间距离的间隙直流击穿特性。下图给出实验得到的长间隙时棒-板和棒-棒空气间隙的直流击穿电压和气隙间距的关系。棒-板气隙存在极性效应:负极性击穿场强约为10kV/cm,正极性的约为4.5kV/cm,都要远小于均匀和稍不均匀电场下的30kV/cm。


除了起始部分外,击穿电压和间隙距离近似直线关系。棒-棒击穿场强大约为4kV/cm,棒-板更低,这是因为棒-棒相对更均匀些。d=1m之前,棒-棒与棒-板气隙的击穿电压几乎相等,之后差别越来越大。
下图给出了不同电场形式长气隙的工频击穿特性曲线,呈现饱和现象,气隙较大时,平均击穿场强明显降低,棒-板间隙尤为严重。

4.4 雷电冲击电压
由于极不均匀电场的放电时延较长,其冲击系数通常显著大于1,冲击击穿电压的分散性也大,用正态分布表征放电特性时,其标准差可取3%。雷电冲击电压作用时击穿发生在冲击电压的波尾部分。
在1.5/40μs的雷电冲击电压作用下,棒棒和棒板气隙的50%冲击击穿电压与极间距离d 的关系如下图所示。

棒-板间隙有明显的极性效应,棒-棒间隙也有不大的极性效应。气隙长度更大时的实验结果见下图。

雷电冲击电压的50%冲击击穿电压与极间距离d近似呈线性关系,即无饱和趋势。主要是因为雷电冲击电压作用时间短,间隙距离加大后,需要提高先导发展速度才能完成放电,因此击穿电压提高。
4.5 操作冲击电压
随着输电电压的不断提高,操作过电压下的绝缘问题越来越突出。220kV以上超高压输电系统中,需按照操作过电压下的电气特性进行绝缘设计。操作冲击电压的击穿发生在波前部分,与半峰时间无关。
着重分析长气隙下操作冲击电压作用下的击穿特征:
(1)操作电压波形的影响(U形曲线)
操作冲击电压的波形对气隙的电气强度有很大的影响,下图中的实验结果表明,棒-板气隙正极性的50%操作冲击击穿电压U50%(s)与波前时间Tcr的关系曲线呈“U”形。在某一最不利的波前时间Tc(可称之为临界波前时间)下,U50%(s)出现极小值U50%(min)。图中的虚线曲线表示不同长度气隙的 U50%(min)与Tc的关系。

下面分析下呈现U形的原因:波前时间对应着电压从零升高到幅值的时间。在左半支,波前时间短,达到峰值时,放电时延没有到达,作用时间不够,波前时间一过,电压是逐渐下降的。此时,要击穿只能提高电压峰值,波前时间越短,击穿电压越高;在右半支,放电产生的电晕形成空间电荷,使得电场变均匀,阻碍放电的发展,所以时间越长,电晕积累电荷越多,击穿电压越高。而在中间100μs-500μs时,时间足够完成击穿,而且空间电荷形成和电场的调整还来不及,所以存在最低的击穿电压。
(2)极性效应
在不同的电场结构中,正操作冲击50%击穿电压比负极性低,所以一般均讨论正极性的情况。
操作冲击击穿电压不仅远低于雷电冲击击穿电压,在某些波前时间内,甚至比工频击穿电压还低。
(3)分散性大
对于波前时间在数十到数百μs的操作冲击电压,极不均匀电场间隙50%击穿电压的标准偏差约为5%;波前时间超过1000μs以后,可达8%左右(工频及雷电冲击电压下均约为3%)。
(4)饱和现象
下图为不同电极形式操作冲击击穿特性,具有显著的“饱和”特征。除了负极性“棒-棒”气隙外,其他棒间隙的操作冲击击穿特性的“饱和”特征都十分明显,而电气强度最差的正极性“棒-板”气隙的“饱和”现象也最为严重,尤其是在气隙长度大于5~6m以后。这对发展特高压输电技术来说,是一个极其不利的制约因素。

压力p0=101.3kPa(760mmHg)
温度t0=20℃或T0=293K
湿度hc=11g/m3
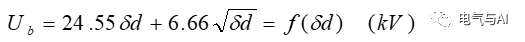
GB/T 16927.1-2011 规定:外绝缘的破坏性放电电压的修正公式:


在大气条件下,气隙的击穿电压随δ 的增大而提高。实验表明:当δ 处于0.95~1.05的范围内,气隙的击穿电压几乎与δ 成正比:

上述公式适用于气隙间距小于1m的情况。?对于更长的空气间隙,击穿电压与大气条件变化的关系,随着电极形状、电压类型和气隙长度而变化。?此时空气密度修正因数:

(2)对空气湿度的修正
大气中的水汽分子呈电负性,可以俘获自由电子形成负离子。在均匀和稍不均匀电场中,放电开始时,需要的击穿场强大,电子运动速度快,不易被水分子俘获所以影响较小。在极不均匀电场中,平均击穿场强小,电子运动速度有限,受影响较大。修正系数为:

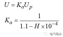
5.2 对海拔高度的修正
海拔高度增大,空气稀薄,大气压力和相对密度减小,空气的电气强度下降;可以从下图的巴申曲线来解释,通常电气设备工作条件下,Pd 是在红色虚线的区段,当pd 变小时,电气强度是下降的。

国标规定:1000m

相关推荐链接:
0人已收藏
0人已打赏
免费0人已点赞
分享
继电保护
返回版块7.33 万条内容 · 486 人订阅
阅读下一篇
锂离子电池在安全测试中阻抗特性变化知识点:安全阻抗 安全问题是锂离子电池在实际使用中最为关注的问题,锂离子电池在针刺、挤压等安全测试中,由于电极、隔膜的变形和内短路的发生会导致锂离子电池内部的阻抗发生变化,因此我们可以通过探测锂离子电池在使用中阻抗的变化情况,及时发现锂离子电池的安全风险,避免重大的人员和财产损失。 近日,德国慕尼黑应用科技大学的Markus Spielbauer(通讯作者,第一作者)对18650电池在不同的安全测试情况下的交流阻抗特点进行了研究分析。研究表明,在针刺测试中,在内短路发生前电池的
回帖成功
经验值 +10
全部回复(0 )
只看楼主 我来说两句抢沙发