其中,含水量、密度和土粒比重为独立变量,由实验室测定;其他指标为导出变量。
土的物理性质指标之间的关系可用三相图来换算 。

其中:
m为土的总质量
ma为气体的质量
mw为液体的质量
ms为固体颗粒的质量
V 为土的总体积
Vv为土的孔隙部分体积
Va为气体体积
Vw为水的体积
Vs为土的固体颗粒的体积
1. 实测指标
1)含水量 (ω)
土中液体的质量 (mw ) 和土颗粒质量 (ms) 之比,用百分比表示:
式中土粒的质量 ms 就是干土的质量,是把土烘干至恒量后称得的,气体的质量忽略小计,液体的质量由总质量 m和干土的质量 ms相减而得。
含水量ω是用来表示土中含水程度的一个重要指标。
2)密度 (ρ)
单位体积土的质量,在三相图中,即是总质量与总体积之比:
对黏性土,土的密度常用环刀法测得。即用一定容积V的环刀切取试样,称得质量m,即可求得密度
。
通常称为天然密度或湿密度。工程计算中还常用到饱和密度和干密度两种密度。
饱和密度(
sat):孔隙完全被水充满时土的密度,公式为:
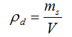
干密度(
d):土被完全烘干时的密度,若忽略气体的质量,干密度在数值上等于单位体积中土粒的质量。公式为
实际工程中,常用重量表示物质含量的多少,即土的重度。对应于上述几种密度,相应地用天然重度γ、饱和重度γsat 和干重度γd来表示土在不同含水状态下单位体积的重量。在数值上,它们等于相应的密度乘以重力加速度g。此外,静水中土体受水的浮力作用,其重度等于土的饱和重度减去水的重度,称为浮重度γ′,单位用kN/m3计。由于重量 (G) 与质量 (m) 有存在G = mg 关系,所以土的重度γ与土的密度
的关系如下:
其中g为重力加速度(g=9.8m/s2 )有时工程上为了计算方便,取g=10m/s2 。
3) 土粒比重 (Gs )
土粒的质量与同体积纯蒸馏水在4℃时的质量之比。
式中:
s为土粒的密度,即单位土体土粒的质量;
4℃w为4℃时纯蒸馏水的密度。土粒比重常用比重瓶法测得。
2 .其它指标
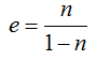
1)孔隙比(e)
孔隙的体积与固体颗粒实体的体积之比,用小数表示,其计算公式为
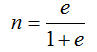
2)孔隙度(n)
孔隙的体积与土的总体积之比,用百分数表示,其计算公式为
孔隙比e与孔隙度n之间有如下关系:
或
土的孔隙比和孔隙度都是用来表示孔隙体积的含量。
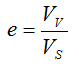
3)饱和度 (Sr)
土孔隙中液体的体积与孔隙的体积之比,用百分数表示,其计算公式为
饱和度Sr用来确定孔隙中充满水的程度。干土的饱和度Sr=0,饱和土的饱和度Sr=100%。
内容源于网络,如有侵权,请联系删除
相关资料推荐:
知识点:土的物理性质指标
0人已收藏
0人已打赏
免费7人已点赞
分享
岩土工程
返回版块1.59 万条内容 · 390 人订阅
回帖成功
经验值 +10
全部回复(1 )
只看楼主 我来说两句 抢板凳看一下。。学习下这方面的内容
回复 举报