对一般天然地基,由自重应力引起的变形已经在地质时期压缩稳定。地基变形和基础沉降的主要原因:附加应力。
附加应力计算的基本假定:地基土是连续、均质、各向同性的完全弹性体,依据弹性理论计算。
1. 竖直集中荷载下的附加应力
法国数学家布辛内斯克1885年推出了该问题的理论解,包括六个应力分量和三个方向位移的表达式。
竖向附加应力

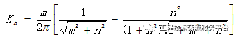
K 为集中力作用下的应力分布系数
集中荷载下地基竖向附加应力的分布规律:在集中力作用线上,附加应力
随着深度z的增加而递减,离集中力作用线某一距离r时,在地表面的附加应力
为零,随着深度的增加, 逐渐递增,但到某一深度后,又随深度z的增加而减小;在某一深度z处,在同一水平面上,附加应力
随着r的增大而减小。
当地基表面作用有几个集中力时,可分别算出各集中力在地基中引起的附加应力,然后根据弹性力学的应力叠加原理求出附加应力的总和。
实际工程中,当基础底面形状不规则或荷载分布较复杂时,可将基底分为若干个小面积,把小面积上的荷载当成集中荷载,然后利用上述公式计算附加应力。
|
|
2. 水平集中荷载作用下的附加应力
学者西罗提(Cerruti V)应用弹性理论解出这一课题。
竖向附加应力

3. 矩形面积分布荷载下的附加应力
1)竖直均布荷载
设地基表面有一矩形面积,宽度为B,长度为L,其上作用着竖直均布荷载,荷载强度为p,确定地基内各点的附加应力时,先求出矩形面积角点下的应力,再利用“角点法”求任意点下的应力。
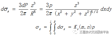
(1)角点下的应力
地基内各角点下的附加应力,是指图中O、A、C、D四个角点下任意深度的应力。只要深度相同,则四个角点下的应力相同。将坐标原点取在角点O上,在荷载面积内任取微分面积dA=dx?dy ,并将其上作用的荷载以dP代替,则dP=p?dA=p?dx?dy,则该集中力在角点O以下深度z处M点所引起的竖直向附加应力为

Ks为竖直均布荷载角点下的应力分布系数
m=L/B,n=z/B
(2)任意点下的应力
利用角点下的应力计算公式和应力叠加原理,可推求地基中任意点的附加应力,这一方法称为角点法。利用角点法求矩形范围以内或以外任意点M下的竖向附加应力时,通过M点做平行于矩形两边的辅助线,使M点成为几个小矩形的共角点,利用应力叠加原理,即可求得M点的附加应力。
若M点在矩形内,则M点以下任意深度Z处的附加应力为Ⅰ、Ⅱ、Ⅲ、Ⅳ四个小基底对M点所产生的附加应力之和,即

若M点在矩形以外,则Mˊ点以下任意深度z处的附加应力为四个基底(Mˊhbe,Mˊfce,Mˊhag,Mˊfdg)对Mˊ点所产生的附加应力的代数和,即


图3-14 用角点法求M'点以下的附加应力
2)竖直三角形荷载

在矩形面积上作用着三角形分布荷载,最大荷载强度为p,把荷载强度为零的角点O作为坐标原点,利用公式(3-13a)和积分的方法求角点O下任意深度的附加应力。在受荷面积内,任取微小面积dA=dxdy ,以集中力
代替作用在其上的分布荷载,则dP在O点下任意点M处引起的竖直附加应力为:

Kt为竖直三角形荷载角点下的应力分布系数
m=L/B,n=z/B
注意:B?是沿三角形荷载变化方向的矩形边长,不一定是矩形的短边。
3)水平均布荷载
学者西罗提(Cerruti V)应用弹性理论解出这一课题。当矩形面积上作用有水平均布荷载Ph时,角点下任意深度z处的竖向附加应力为:


式中:Kh——矩形面积作用水平均布荷载时角点下的应力系数,可从表3-5中查得。

,m=L/B,n=Z/B,这里B为平行于水平荷载用方向的边长,L/em<>为垂直于水平荷载作用方向的边长。当计算点在水平均布荷载作用方向的终止端以下时取“+”号;当计算点在水平均布荷载作用方向的起始端以下时取“-”号。当计算点在荷载面积范围内(或外)任意位置时,同样可以利用“角点法”和叠加原理进行计算
4. 条形面积分布荷载下的附加应力
1)竖直均布线荷载
在地表无限长直线上,作用竖直均布线荷载,求地基中任意点M的附加应力。弗拉曼解答。

2)条形面积竖直均布荷载
根据弗拉曼解答,在宽度B上积分可得到竖直均布荷载下地基内任意点M的附加应力。

注意:条形面积下的附加应力计算与坐标相关
3)条形面积上其它分布荷载
条形面积竖直三角形分布荷载

条形面积竖直三角形分布荷载

5. 圆形面积竖直均布荷载时中心点下的附加应力
圆形面积竖直均布荷载,圆心点下任意深度z处M点的竖向附加应力,可以通过布辛内斯克解,在圆面积内积分求得。 

K0是应力分布系数,是r和z的函数。
内容源于网络,如有侵权,请联系删除
相关资料推荐:
知识点:附加应力
0人已收藏
0人已打赏
免费8人已点赞
分享
地基基础
返回版块12.11 万条内容 · 716 人订阅
回帖成功
经验值 +10
全部回复(0 )
只看楼主 我来说两句抢沙发