土木在线论坛 \ 建筑结构 \ 岩土工程 \ 岩石的抗压强度及影响因素

岩石的抗压强度及影响因素

发布于:2022-09-15 14:30:15 来自:建筑结构/岩土工程 [复制转发]

岩石的抗压强度指岩石试件在单轴压力下达到破坏的极限值,它在数值上等于破坏时的最大压应力。岩石的抗压强度是衡量岩块基本力学性质的重要指标;是岩体工程分类、建立岩体破坏判据的重要指标;可用于大致估算其他强度参数 。

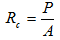
岩石的抗压强度一般在实验室内用压力机进行加压试验测定的。试件通常用圆柱形(钻探岩心)或立方柱状(用岩块加工)。试验结果按下式计算抗压强度:

图片

式中:Rc-----岩石单轴抗压强度(MPa);

P-----试件破坏时的荷载(MN);

A-----试件的横断面面积(m2)。

岩石抗压强度的影响因素有很多,这些因素可分为两方面:一方面岩石本身,如颗粒大小、矿物成分、颗粒联结及胶结情况、块体密度、层理和裂隙的特性和方向、风化程度和含水情况等等;另一方面是试验方法,如试件大小、尺寸相对比例、形状、试件加工情况和加荷速率等。

内容源于网络,如有侵权,请联系删除


相关资料推荐:

实验---岩石单轴抗压强度试验方法

岩石单轴抗压强度汇总表


知识点:岩石的抗压强度

  • daghy
    daghy 沙发

    看一下。。学习下这方面的内容

    2022-09-18 08:56:18

    回复 举报
    赞同0
这个家伙什么也没有留下。。。

岩土工程

返回版块

1.59 万条内容 · 390 人订阅

猜你喜欢

阅读下一篇

岩石的基本概念与破坏形式

1.基本概念 1)岩石的强度 岩石强度:在外荷载作用下,岩石抵抗破坏的能力。一般是指岩石试件的强度,它实际上代表岩体内岩块的强度。 2)岩石和岩体的重要区别 岩体是一个复杂的地质体,它的强度不仅与组成岩体的岩石性质有关,而且与岩体内的软弱结构面(节理、裂隙、层理、断层等)有关,此外还与岩体所受应力状态有关。 岩石和岩体的重要区别是岩体包含若干不连续面。由于不连续面的存在岩体强度远低于岩石强度,所以工程中所关心的岩体稳定问题起决定作用的是岩体强度而不是岩石强度。

回帖成功

经验值 +10