知识点:满载
在许多应用中,可以通过使用变频器来实现节能。特别是变频器用于驱动平方负载特性的泵和风机时,在非满载的工况可以实现显著的节能。这种类型的系统在很宽的速度范围内产生的损耗非常低,因此效率很高。为了能够量化这些节约,需要研究变频器的损耗和效率与负载和速度的关系。
效率定义为输出端提供的有功电功率POut与输入端获取的有功电功率PIn之比。如果考虑输入端的有功电功率PIn比输出端提供的有功电功率POut高出一个与功率损耗PL相对应的系数,则可应用以下通用公式计算效率:
1变频器满载时的效率
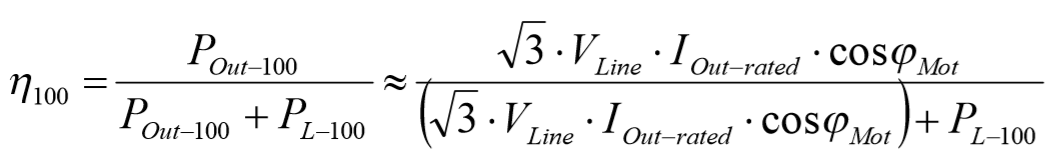
变频器在满载时的效率是根据与变频器的额定电压和额定电流相匹配的电机运行在其标称工作点的数据来计算的。为了计算该额定点的效率η100,必须明确变频器输出端的有功功率POut-100和变频器的功率损耗PL-100。满载时,在变频器输出端提供的有功电功率POut-100是:

采用脉冲边沿调制方式工作时,矢量控制模式下的变频器输出电压VOut-100几乎等于输入侧的进线电源电压VLine。输出电流IOut-100是变频器的额定输出电流IOut-rated,功率因数cosφMot是电机的功率因数,该电机的额定电压和额定电流与变频器的额定数据相匹配,并在其标称工作点工作。因此,满载时,变频器输出端的有功功率为 :

变频器在满载时的功率损耗PL-100是变频器装置的特定值,一般都可以在相关的样本或手册中找到。
根据输出有功功率POut-100和功率损耗PL-100,变频器在满载时的效率为:

该公式可用于单独计算变频器的满载效率,该效率与进线电压和所连接电机的功率因数有关。
如果根据典型功率因数cosφMot=0.88(功率范围为100kW至1000kW的4极异步电动机)计算变频器的效率,则可获得以下西门子变频器满载时的典型效率值供参考:
? S120基本整流满载效率典型值为99%
? S120回馈整流满载效率典型值为98.5%
? S120有源整流满载效率典型值为97.5%
? S120逆变单元满载效率典型值为98.5%
? G130/G150变频器在满载且脉冲频率为出厂设定值时的效率典型值为97.7-98.3%
? S150有源整流变频器在满载且脉冲频率为出厂设定值时的效率典型值为96-96.5%
2变频器非满载时的效率
变频器样本或手册中给定的总功率损耗PL-100是变频器在满载下的最大值,正常情况下,损耗相应会低一些。
总功率损耗PL-100有三个不同的功率损耗分量:
? 固定功率损耗(不考虑负载条件)
? 电流相关的功率损耗(与输出电流成比例)
? 功率相关的功率损耗(与有功输出功率成比例)
固定功率损耗PL const与负载无关:PL const=kconst*PL-100
固定功率损耗在所有的各类整流、逆变和变频器中都存在,它们包括风扇和风扇变压器的功率损耗,由电容漏电流和平衡电阻中的电流引起的直流母线的功率损耗,以及线路板(印刷电路板)中的功率损耗。
电流相关的功率损耗与输出电流IOut=电机电流IMot成正比,并细分为:
a)电流相关的传导损耗PL-I-CON:

它们存在于所有的变频器或逆变器中,主要包括逆变器中功率半导体IGBT的导通损耗,与输出电流=电机电流成正比。公式中IOut/IOut-rated确定了变频器在部分负载时的输出电流IOut与满载时的额定电流IOut-rated之间的关系。
b)电流相关的开关损耗PL-I-Switch:

它们存在于所有的变频器或逆变器中,主要包括逆变器中功率半导体IGBT的开关损耗,就像电流相关的传导损耗一样,与输出电流=电机电流成比例。此外,它们还取决于在部分负载时的直流母线电压VDC和脉冲频率fp。VDC-rated是额定或参考的直流母线电压,fp-rated是工厂设定的脉冲频率。公式中IOut/IOut-rated确定了变频器在部分负载时的输出电流IOut与满载时的额定电流IOut-rated之间的关系。
功率相关的功率损耗与有功输出功率成正比,并细分为:
a)功率相关的传导损耗PL-P-Con:

它们存在于各类整流和所有的变频器中,包括进线侧整流器中功率半导体的传导损耗,并且与有功输出功率成正比。公式中POut/POut-100确定了变频器在部分负载时的有功输出功率POut与满载时的有功输出功率POut-100之间的关系。
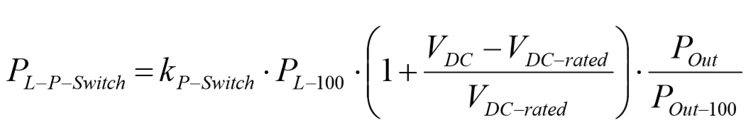
b)功率相关的开关损耗PL-P-Switch:
他们存在于有源整流及有源整流变频器,包含进线侧整流中功率模块IGBT的开关损耗。并且与功率相关的传导损耗一样,与有功输出功率成正比。此外,它们还取决于部分负载时的直流母线电压VDC。VDC-rated是额定或参考直流母线电压。公式中POut/POut-100确定了部分负载时的有功输出功率POut与满载时的有功输出功率POut-100之间的关系。
上述方程式中应用的常数,即kconst、kI-Con、kI-Switch、kP-Con和kP-Switch,定义了在满载条件下总功率损耗PL-100划分为的不同功率损耗分量,这些常数是特定于变频器设备的。
部分负载时的总功率损耗PL对应于所有功率损耗分量的总和,如下所示:

部分负载时的效率η是由总功损耗PL和有功输出功率POut计算出来的,如下所示:

任何部分负载点的功率损耗和效率都可以根据上述方程式计算,只需相对较少的变频器特定常数和部分负载时的少量电气参数,如下所示:
?变频器特定常数kconst,kI-Con,kI-Switch,kP-Con和kP-Switch
?变频器满载总功率损耗PL-100(查询相关样本或手册)
?脉冲频率fp
?直流母线电压VDC
?输出电流IOut(=电机电流IMot)以额定输出电流IOut-rated 为基准
?有功输出功率POut以满载时的有功输出功率POut-100 为基准
以下举例说明如何计算功率损耗或者效率。
3 基本整流在非满载时的效率举例
以西门子S120基本整流BLM为例,BLM不考虑进线电抗的总功率损耗包括以下功率损耗分量(回馈整流也一样,有源整流多了一项功率相关的开关损耗):
?固定功率损耗
?功率相关的传导损耗
则基本整流BLM的效率公式如下:

其中Pout=VDC*IDC=1.32VLine*IDC
如果我们现在将功率损耗PL-100-BLM替换为满载时的有功电输出功率POut-100和效率 η100-BLM

根据下式,我们得到了在任意给定部分负载时的效率ηBLM作为有功输出功率比Pout/Pout-100的函数

根据该方程,在部分负载范围内的效率仅与常数kconst-BLM(风冷0.2,水冷0.1)和kP-Con-BLM(风冷0.8,水冷0.9),以及满载效率η100-BLM和有功输出功率比Pout/Pout-100有关。因此一旦确定了BLM在满载时的效率,就可以使用上述公式在任何给定的部分负载点(即任何有功输出功率值)执行直接分析效率计算。
下图显示了风冷和液冷S120基本整流模块在部分负载时的效率。计算基于满载时的典型效率99%。效率表示为BLM提供给所连接的S120逆变模块的有功输出功率比POUT/POUT-100的函数。

4 逆变单元在非满载时的效率举例
以西门子S120逆变单元/电机模块为例,电机模块的总功率PL-MoMo损耗包括以下功率损耗分量:
?固定功率损耗
?电流相关的传导损耗
?电流相关的开关损耗
电机模块的效率 ηMoMo计算公式如下:

其中:

为了简化计算,我们做如下假设:
?直流母线电压VDC等于额定或参考直流母线电压VDC-rated。
?脉冲频率fP等于出厂设定的脉冲频率fP-rated。
?电机仅在低于额定转速的恒定磁通范围内运行。
由于在电机的恒定磁通范围内,电机模块的输出电压VOut与电机模块的输出频率fOut成正比,因此电机模块的有功输出功率比计算公式如下:

其中fOut-rated是在电机模块上运行的电机的额定频率,在该频率下输出电压VOut达到电机的额定电压。在矢量控制模式下工作并利用脉冲边沿调制的驱动器上,这实际上等于线电压Vline。
如果我们现在将电机模块在满载时的功率损耗PL-100-MoMo替换为有功输出电功率POut-100和效率η100-MoMo:

那么我们可以推导出部分负载时电机模块的效率公式如下,他与输出电流比IOUT/IOUT-rated和输出频率比fOUT/fOUT-rated是函数关系:

根据该公式,在部分负载时的效率仅取决于特定逆变模块常数kconst-MoMo(风冷0.2,水冷0.05),kI-Con-MoMo(风冷0.55,水冷0.65),kI-Switch-MoMo(风冷0.25,水冷0.3),以及满载效率η100-Momo,输出电流比IOUT/IOUT-rated和输出频率比fOUT/fOUT-rated。所以一旦确定了S120电机模块的满载效率,就可以使用上述公式在任何给定的部分负载点(即任何输出频率或输出电流)进行直接效率计算。
下图显示了用于恒转矩驱动的风冷S120电机模块的部分负载效率。计算基于满载时98.5%的典型效率。效率用两种不同的方式表示。在一个图表中,效率以输出电流为参数表示为输出频率的函数,在第二个图表中,效率以输出频率为参数表示为输出电流的函数。

上图显示了恒转矩驱动的效率特性曲线,他是输出频率比fOut/fOUT-rated(与电机转速比n/nrated成正比)的函数。曲线族的参数是输出电流比IOut/IOUT-rated,它与电机转矩比M/Mrated成正比。

上图显示了恒转矩驱动效率与输出电流比IOUT/IOUT-rated(与电机转矩比M/MRated成正比)的函数关系的特性曲线。曲线族的参数为输出频率比fOUT/fOUT-rated,他与电机速比n/nrated成正比。
5 变频器在非满载时的效率举例
以西门子G150/G130变频器为例,变频器的总功率损失包含以下分量:
?固定功率损耗
?电流相关的传导损耗
?电流相关的开关损耗
?功率相关的传导损耗
?进线电抗器损耗,如果安装的话。
为了简化计算,我们做如下假设:
?公式仅适用于西门子G150/G130风冷变频器。
?变频器不配置进线电抗器。
?直流母线电压VDC等于额定或参考直流母线电压VDC-rated。
?脉冲频率fP等于出厂设定的脉冲频率fP-rated。
?电机仅在低于额定转速的恒定磁通范围内运行。
忽略推导过程,我们可以得到如下效率计算公式:

根据该公式,在部分负载时的效率仅取决于G150/G130常数kconst(风冷0.15),kI-Con(风冷0.44),kI-Switch(风冷0.21),kP-Con(风冷0.2),以及满载效率η100,输出电流比IOUT/IOUT-rated和输出频率比fOUT/fOUT-rated。对于采用G130或G150变频器的驱动,一旦确定满载变频器效率,就可以使用上述公式在任何给定的部分负载点(即任何输出频率或输出电流)进行直接效率计算。
恒转矩工况:
下图根据上面的公式显示了G130和G150变频器对于恒转矩驱动的部分负载效率。计算基于满载时的典型效率98%。效率用两种不同的方式表示。在第一个图表中,效率以输出电流为参数表示为输出频率的函数,在第二个图表中,效率以输出频率为参数表示为输出电流的函数。
上显示了恒转矩驱动的效率特性曲线,它是输出频率比fout/fout-rated(与电机速度比n/nrated成正比)的函数。曲线族的参数是输出电流比Iout/Iout-rated,与电机转矩比M/Mrated成正比。

上显示了恒转矩驱动的效率特性曲线,他是输出电流比IOUT/IOUT-rated(与电机转矩比M/MRated成正比)的函数。曲线族的参数为输出频率比fOUT/fOUT-rated(与电机速比n/nrated成正比)。
相关推荐链接:
0人已收藏
0人已打赏
免费0人已点赞
分享
电气工程原创版块
返回版块2.2 万条内容 · 598 人订阅
回帖成功
经验值 +10
全部回复(0 )
只看楼主 我来说两句抢沙发