1. 地基最终沉降量的基本概念和计算方法
地基土层在外荷载作用下达到固结稳定时的最大沉降量,称为最终沉降量。即t→∞时地基最终沉降稳定以后的最大沉降量,不考虑沉降过程。
地基最终沉降量的计算方法有多种,如本书所讲的利用e-p压缩曲线计算沉降量,还有利用e-lgp压缩曲线计算沉降量,规范推荐法及有限元应力应变分析法等。

2. 单一土层一维压缩问题
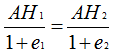
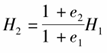
设地基中仅有一较薄的压缩土层,在建筑物荷载作用下,该土层只产生铅直向的压缩变形,即相当于侧限压缩试验的情况。土层的厚度为H1,在进行工程建筑前的初始应力(土的自重应力)为p1,认为地基土体在自重应力作用下已达到压缩稳定,其相应的孔隙比为e1;建筑后由外荷载在土层中引起的附加应力为σz,则总应力p2=p1+σz,其相应的孔隙比为e2,土层的高度为H2。设Vv为土中孔隙的体积,Vs为土中固体颗粒的体积,Vs=1,土粒体积在受压前后都不变,土的压缩只是由于土的孔隙体积的减小。设A为土体的受压面积,则在压缩前土的总体积为

压缩后土的总体积为
根据压缩前后土颗粒体积不变,可得

于是

所以

式中:e1,e2— —孔隙比,可以通过土体的e—p压缩曲线由初始应力和总应力确定。
s——沉降量,cm。
若引入压缩系数av和压缩模量Es上式可变为
3. 地基最终沉降的分层总和法
1)基本假定和原理
①假设基底压力为线性分布
②附加应力用弹性理论计算
③只发生单向沉降:侧限应力状态
④只计算固结沉降,不计瞬时沉降和次固结沉降
⑤将地基分成若干层,认为整个地基的最终沉降量为各层沉降量之和。
理论上不够完备;分层总和法是一个半径验性方法。
2)计算步骤
①分层,为了地基沉降量计算比较精确。除每一薄层的厚度hi≤0.4b外,基础底面附加应力数值大,变化大,分层厚度应小些,尽量使每一薄层的附加应力的分布线接近于直线。地下水位处,层与层接触面处都要作为分层点。

②计算地基土的自重应力,并按一定比例绘制自重应力分布图。
注意:自重应力从地面算起
③计算基础底面接触压力
④计算基础底面附加应力,基础底面附加应力p0等于基础底面接触压力减去基础埋深(d)以内土所产生的自重应力rd。即

⑤计算地基中的附加应力,并按与自重应力同一比例绘制附加应力的分布图形。附加应力从基底面算起。按基础中心点下土柱所受的附加应力计算地基最终沉降量。
⑥确定压缩土层最终计算深度Zn。因地基土层中附加应力的分布是随着深度增大而减小,超过某一深度后,以下的土层压缩变形是很小,可忽略不计。此深度称为压缩土层最终计算深度Zn。一般土根据σz=0.2σs条件确定,软土由σz=0.1σs确定。
⑦计算每一薄层的沉降量si。
公示注释
式中:
——第i层土的平均附加应力,kPa;
Esi——第i层土的侧限压缩模量 ,kPa
hi——第i层土的计算厚度;
avi——第i层土的压缩系数,(kPa) -1 ;
e1i一一第i层土的原始孔隙比
e2i——第i层土压缩稳定时的孔隙比。
⑧计算地基最终沉降量
内容源于网络,如有侵权,请联系删除
相关资料推荐:
知识点:地基最终沉降量计算
0人已收藏
0人已打赏
免费7人已点赞
分享
地基基础
返回版块12.11 万条内容 · 717 人订阅
回帖成功
经验值 +10
全部回复(1 )
只看楼主 我来说两句 抢板凳学习学习
回复 举报