土木在线论坛 \ 建筑结构 \ 地基基础 \ 承台抗冲切计算

承台抗冲切计算

发布于:2022-09-08 15:51:08 来自:建筑结构/地基基础 [复制转发]
对于圆柱及圆桩,进行冲切计算时应将其截面 换算成方柱及方桩 ,即取换算柱截面边长bc=0.8dcdc为圆柱直径),换算桩截面边长bp=0.8dd为圆桩直径)。

对于 柱下两桩承台 ,宜按深受弯构件(lo/h<5.0lo1.15 lnln为两桩净距)计算受弯、受剪承载力,不需要进行受冲切承载力计算。
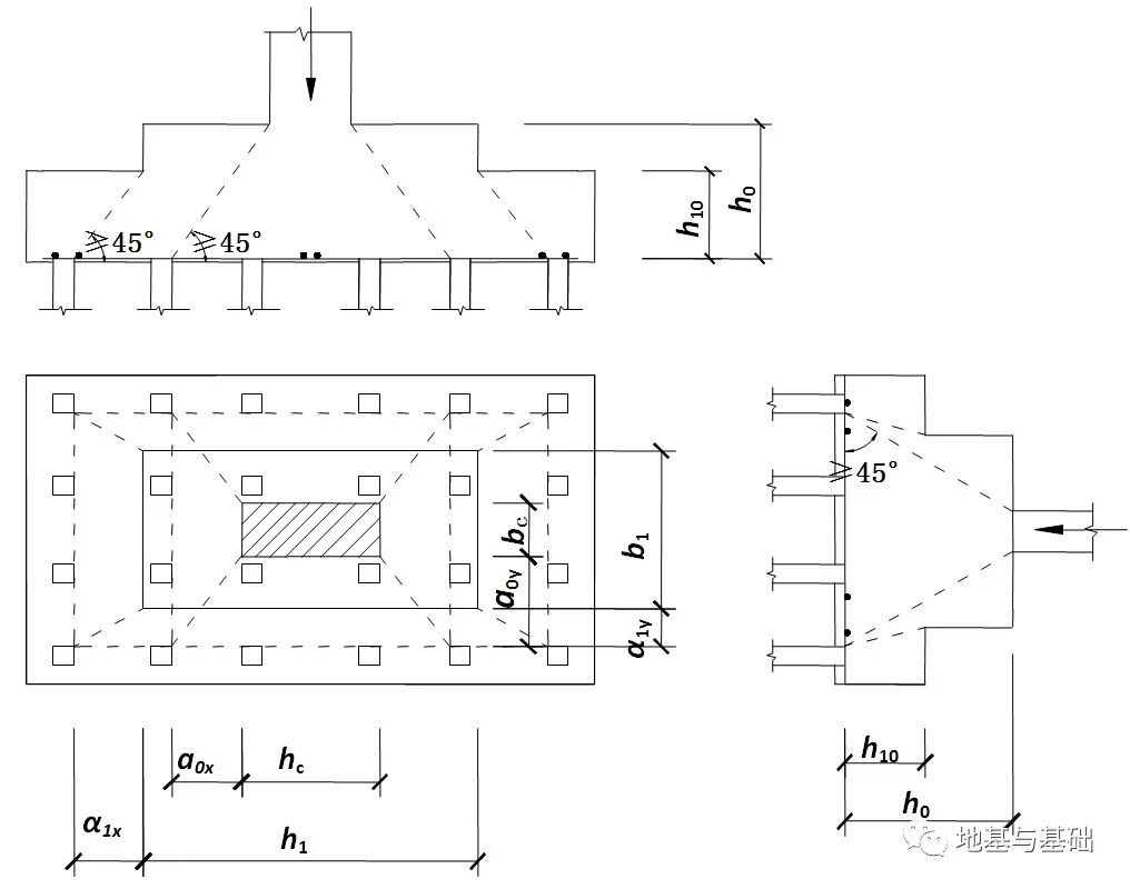
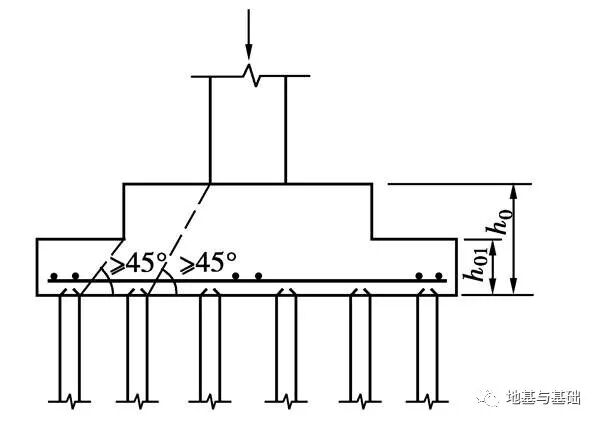
①冲切破坏锥体应采用自柱(墙)边或承台变阶处至相应桩顶边缘连线所构成的锥体,锥体斜面与承台底面之 夹角 不应小于45°。
受柱(墙)冲切承载力 可按下列公式计算:

图片

 

图片

图片

式中:
Fl——不计承台及其上土重,在荷载效应基本组合下作用于冲切破坏锥体上的冲切力设计值,kN
ft ——承台混凝土抗拉强度设计值,kPa
βhp——承台受冲切承载力截面高度影响系数,当h≤800mm时,βhp1.0 h≥2000mm时,βhp0.9, 其间按线性内插法取值;
um—— 承台冲切破坏锥体一半有效高度处的周长,m
h0——承台冲切破坏锥体的有效高度,m
β0——柱(墙)冲切系数;
λ——冲跨比,λ=a0/h0,为柱(墙)边或承台变阶处到桩边水平距离;当λ<0.25时,取λ=0.25;当λ>1.0,λ=1.0
F——不计承台及其上土重,在荷载效应基本组合作用下柱(墙)底的竖向荷载设计值,kN
Q——不计承台及其上土重,在荷载效应基本组合下冲切破坏锥体内各基桩或复合基桩的反力设计值之和,kN



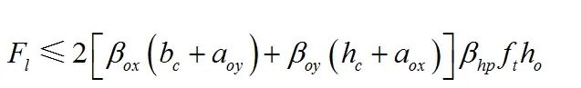
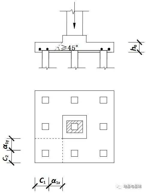
③对于 柱下矩形独立承台 受柱冲切的承载力可按下列公式计算    图片
  式中:

图片

λ0x=a0x/h0, λ0y=a0y/h0,其值均应满足0.251.0的要求。
hcbc ——分别为xy方向的柱截面的边长,m
a0xa0y——分别为xy方向柱边离最近桩边的水平距离,m
  图片

 柱对承台的冲切计算示意

 
④对位于柱(墙)冲切破坏锥体以外的基桩,可按下列规定计算承台 受基桩冲切 的承载力:
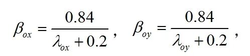
四桩以上 (含四桩)承台受角桩冲切的承载力可按下列公式计算:

图片


式中:
Fl——不计承台及其上土重,在荷载效应基本组合作用下角桩(含复合基桩)反力设计值,kN
β1xβ1y——角桩冲切系数;
a1xa1y——从承台底角桩顶内边缘引45°冲切线与承台顶面相交点至角桩内边缘的水平距离;当柱(墙)边或承台变阶处位于该45°线以内时,则取由柱(墙)边或承台变阶处与桩内边缘连线为冲切锥体的锥线,m
h0——承台外边缘的有效高度,m
λ1xλ1y——角桩冲跨比,λ1x=a1x/h0, λ1y=a1y/h0,其值均应满足0.251.0的要求。
 

图片

锥形承台角桩冲切计算示意                     
 

图片

阶形承台角桩冲切计算示意

●对于 三桩三角形承台 可按下列公式计算受角桩冲切的承载力   图片

式中:

λ11λ12——角桩冲跨比,λ11=a11/h0, λ12=a12/h0,其值均应满足0.251.0的要求。
a11a12——从承台底角桩顶内边缘引45°冲切线与承台顶面相交点至角桩内边缘的水平距离;当柱(墙)边或承台变阶处位于该45°线以内时,则取由柱(墙)边或承台变阶处与桩内边缘连线为冲切锥体的锥线,m

图片

   三桩三角形承台角桩冲切计算示意


⑤对于 箱形、筏形承台 ,可按下列公式计算承台受内部基桩的冲切承载力:

●按下式计算受 基桩的冲切 承载力: 图片

图片

        受基桩的冲切       
●按下式计算受 桩群的冲切 承载力:

图片

图片受桩群的冲切

式中

β0xβ0y——桩的冲切系数,计算公式与上面相同,其中λ0x=a0x/h0, λ0y=a0y/h0,其值均应满足0.25~1.0的要求;
Nl、∑Nli——不计承台和其上土重,在荷载效应基本组合下,基桩或复合基桩的净反力设计值、冲切锥体内各基桩或复合基桩反力设计值之和。

内容源于网络,如有侵权,请联系删除


相关资料推荐:

柱下桩基承台抗冲切的正确计算


知识点:承台抗冲切计算

  • daghy
    daghy 沙发

    看一下。。学习下这方面的内容

    2022-09-12 16:20:12

    回复 举报
    赞同0
这个家伙什么也没有留下。。。

地基基础

返回版块

12.11 万条内容 · 717 人订阅

猜你喜欢

阅读下一篇

承台抗剪计算

柱(墙)下桩基承台,应分别对柱(墙)边、变阶处和桩边联线形成的贯通承台的斜截面的受剪承载力进行验算。当承台悬挑边有多排基桩形成多个斜截面时,应对每个斜截面的受剪承载力进行验算。         1柱下独立桩基承台 斜截面受剪承载力应按下列规定计算:           

回帖成功

经验值 +10