土木在线论坛 \ 建筑结构 \ 地基基础 \ 承台抗剪计算

承台抗剪计算

发布于:2022-09-08 15:49:08 来自:建筑结构/地基基础 [复制转发]
柱(墙)下桩基承台,应分别对柱(墙)边、变阶处和桩边联线形成的贯通承台的斜截面的受剪承载力进行验算。当承台悬挑边有多排基桩形成多个斜截面时,应对每个斜截面的受剪承载力进行验算。

        1柱下独立桩基承台 斜截面受剪承载力应按下列规定计算:           

图片

式中:
       V——不计承台及其上土自重,在荷载效应基本组合下,斜截面的最大剪力设计值,kN
       ft——混凝土轴心抗拉强度设计值,kPa
       b0——承台计算截面处的计算宽度,m
       h0——承台计算截面处的有效高度,m
       a——承台剪切系数;
       λ——计算截面的剪跨比,λx=ax/h0, λy=ay/h0,此处,a1,a2为柱边(墙边)或承台变阶处至yx方向计算一排桩的桩边的水平距离,当λ<0.25时,取λ=0.25;λ>3,λ=3
 βhs——受剪切承载力截面高度影响系数,h0<800mm时,取h0=800mm ,h0>2000mm时,取h0=2000mm;其间按线性内插法取值。

图片

  承台斜截面受剪计算示意



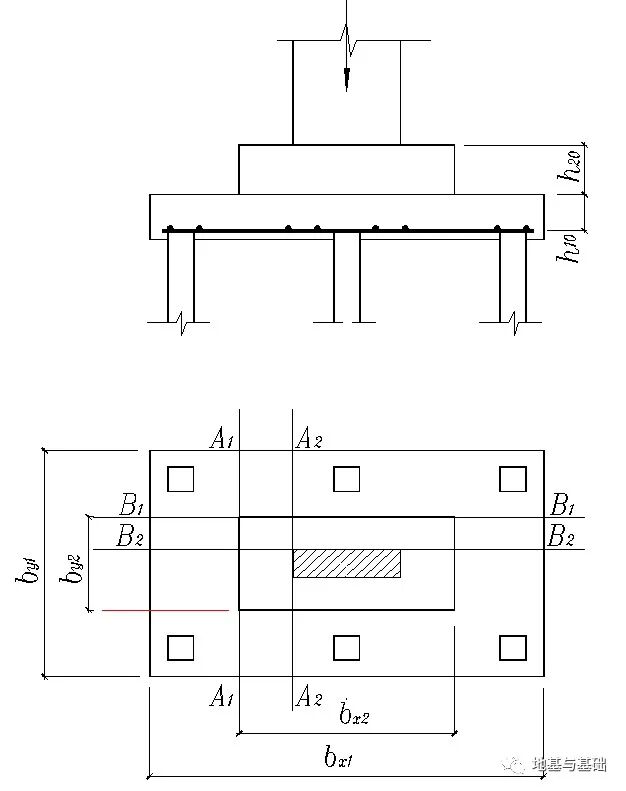
2 对于阶梯形承台 应分别在变阶处(A1-A1,B1-B1)及柱边处(A2-A2,B2-B2)进行斜截面受剪承载力计算(如图)。

图片

阶梯形承台斜截面受剪计算示意
 
计算变阶处截面(A1-A1,B1-B1)的斜截面受剪承载力时,其截面有效高度均为h10,截面计算宽度分别为by1bx1
计算柱边截面(A2-A2,B2-B2)的斜截面受剪承载力时,其截面有效高度均为h10+ h20
截面计算宽度分别为:
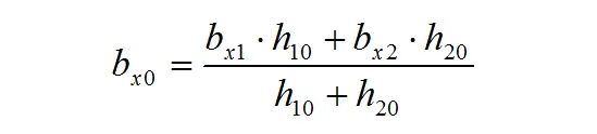
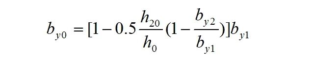
A2-A2       图片
 B2-B2          

图片

                     
3对于锥形承台 应对变阶处及柱边处(A-AB-B)两个截面进行受剪承载力计算(如图),截面有效高度均为ho,截面的计算宽度分别为:
A-A      

图片

 B-B    

图片

图片

  锥形承台斜截面受剪计算示意

内容源于网络,如有侵权,请联系删除


相关资料推荐:

桩承台计算EX表格

承台计算软件


知识点:承台抗剪计算

  • daghy
    daghy 沙发

    看一下。。学习下这方面的内容

    2022-09-12 16:22:12

    回复 举报
    赞同0
这个家伙什么也没有留下。。。

地基基础

返回版块

12.11 万条内容 · 717 人订阅

猜你喜欢

阅读下一篇

承台抗弯计算

  受弯承载力和配筋可按现行国家标准《混凝土结构设计规范》GB 50010的规定进行。 a. 两桩 条形承台 和多桩矩形承台弯矩计算截面取在柱边和承台变阶处可按下列公式计算:     ↑矩形承台                       

回帖成功

经验值 +10