1.山岩压力概述
在岩体内开挖洞室以后,岩体的原始平衡状态被破坏,发生应力重分布。随着应力的重分布,围岩不断变形并向着洞室逐渐位移。一些强度较低的岩石由于应力达到强度的极限值而可能破坏,产生裂缝或剪切变位,破坏了岩石的重力作用下甚至大量塌落,造成所谓“冒顶”现象, 特别是节理、裂隙等软弱结构面发育的岩石更为显著。
在水工建设中,把由于洞室围岩的变形和破坏而作用在支护或衬砌上的压力,称为山岩压力,有的称为“地层压力”,“围岩压力”,“地压”,“岩石压力”
假设围岩没有受到其它洞室的影响,并且开挖爆破过程中没有受到破坏,则洞室周围的山岩压力随着时间的发展可以分为三个阶段 (仅讨论岩石内最大压应力为垂直方向的情况):
在第I阶段内,由于岩体的变形,在洞室的周界上产生一般的挤压,同时,在两侧的岩石因剪切破坏而形成了楔形岩块,这两个楔形岩块有朝着洞室内部移动的趋向。
在第Ⅱ阶段内,在侧向楔形体发生某种变形以后,在岩体内形成了一个椭圆形的高压力区,在椭圆曲线与洞室周界线间的岩体发生了松动。
在第Ⅲ阶段,洞顶和洞底的松动岩体开始变形,并向着洞内移动,洞顶松动岩石在重力作用下有掉落的趋势,山岩压力逐渐增加。
这是山岩压力的形成机理。可见山岩压力的形成是与洞室开挖后岩体的变形、松动和破坏分不开的。通常将由于岩体变形而对支护或衬砌给予的压力,称为变形压力;将岩体破坏和松动对支护或衬砌造成的压力,称为松动压力;深部坚硬完整岩体发生岩爆产生的压力,称为冲击压力;在粘土质页岩或凝灰岩之类的岩石中由于遇水膨胀产生的压力,称为膨胀压力。变形量的大小以及破坏程度的强弱就决定着山岩压力的大小。在不同性质的岩石中,由于它们的变形和破坏性质不同,所以产生山岩压力的主导因素也就不同,通常可以遇到下列三种情况。
1)在整体性良好、裂隙节理不发育的坚硬岩石中,洞室围岩的应力一般总是小于岩石的强度。
2)在中等质量的岩石中,不仅有弹性变形,而且还有塑性变形,少量岩石破碎。在这类岩石中,山岩压力主要是由较大的变形所引起,岩石的松动坍落甚小,这类岩石中主要是产生“变形压力”。
3)在破碎和软弱岩石中,由于裂隙纵横切割,岩体强度很低,围岩应力超过岩体强度很多。坍落和松动是产生山岩压力的主要因素,而松动压力是主要的山岩压力。
2.太沙基理论
由于岩体一般总是有一定的裂隙节理,又由于洞室开挖施工的影响,其围岩不可能是一个非常完整的整体,而太沙基理论中假定岩石为散粒体,并具有一定的凝聚力,所以用这一理论计算松动山岩压力有时也可以得到较好的效果。
假设洞室侧面的岩石比较稳定,没有形成
的破裂面。洞室开挖后,其上方的岩体有趋向下沉,形成垂直滑动面AA'和BB'。这两个滑动面上的抗剪强度为:
岩石的容重为
,地面上作用着强度为p的均布荷载。在地表以下任何深度处的垂直应力为
,而相应的水平应力为
式中:K0为岩石的侧压力系数。
图10-1 太沙基理论计算山岩压力
现在表面以下z深度处,在AA'BB'岩柱中取厚度为dz的薄层进行分析。薄层的重量等于
(以垂直图形平面的单位长度计)。在这薄层上作用的力如右图形所示。作用在薄层上的垂直力之和等于零。根据这个条件,可以写出下列方程式。
经过整理后,得:
解这个微分方程式,并考虑到边界条件:当z=0时,
,最后得:
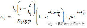
令上式中的z=H,即得到洞室顶面的垂直山岩压力q为
这个公式对深埋洞室和浅埋洞室都适用。当洞室为深埋时,可令
,得到
当c=0时,有
图10-2 侧面岩石不稳时的山岩压力
对于洞室侧面岩石不稳定的情况也可用类似方法来求山岩压力。这时,洞室侧面从底面起就产生了一个与铅垂线成
角的滑裂面,见右图。侧墙受到水平侧向压力的作用。垂直压力计算公式的推导与上述过程相同,只要将以上各式中的b1以b2代替即可。

这时,

当

当c=0时

1946年太沙基提出了岩石分类表 ,提出了各类岩石荷载高度值,可以直接根据荷载高度计算支护压力。从表10-2可以看出,估算竖向压力存在极大的主观随意性,但该表在英美等国家目前仍被视为经典,依然使用很广泛。
内容源于网络,如有侵权,请联系删除
相关资料推荐:
知识点:山岩压力及洞室围岩稳定性计算
0人已收藏
0人已打赏
免费5人已点赞
分享
结构资料库
返回版块41.29 万条内容 · 424 人订阅
阅读下一篇
地下工程岩体稳定性的影响因素1.岩土性质 岩土性质是控制地下洞室围岩稳定、隧洞掘进方式和支护类型及其工作量等的重要因素。理想的岩体洞室围岩是岩体完整、厚度较大、岩性单一、成层稳定的沉积岩;规模很大的侵入岩(花岗岩、闪长岩等)或区域变质片麻岩。岩体内软弱夹层及岩脉不发育,岩石的饱和单轴抗压强度在70MPa以上。一般坚硬完整岩体,由于岩体完整,洞壁围岩稳定性好,施工也较顺利,支护也简单快速。而破碎岩体或松散岩层,由于围岩自身稳定性差,施工过程容易产生变形破坏,因而施工速度较慢,支护工程量及难度也较大,严重时还会产生较大规模的塌方,影响施工安全,延误工期。
回帖成功
经验值 +10
全部回复(1 )
只看楼主 我来说两句 抢板凳看一下。。了解下这方面的内容
回复 举报