道路施工测量的主要工作包括:恢复道路中线,测设施工控制桩、路基边桩,竖曲线测设,路面和路拱测设,竣工测量。
从道路勘测,经过工程设计到开始施工这段时间里,往往有一部分中线桩点被碰动或丢失。为了确保路线中线位置的正确无误,施工前,应进行一次复核测量,将已经丢失或碰动过的交点桩、里程桩等恢复和校正好,其方法与中线测量基本相同,只不过恢复中线测量是局部性的工作。
由于路线中线桩在施工中要被挖掉或堆埋,为了在施工中控制中线位置,需要在不易受施工破坏、便于引测、易于保存桩位的地方测设施工控制桩,其方法如下:
(一)平行线法
平行线法是在设计的路基宽度以外,测设两排平行于中线的施工控制桩,如图9-23所示。控制桩的间距一般取10~20m。平行线法多用于地势平坦、直线段较长的道路。

图9-23 平行线法
(二)延长线法
延长线法是在道路转折处的延长线上,以及曲线中点至交点的延长线上测设施工控制桩,如图9-24所示。

图9-24 延长线法
每条延长线上应设置两个以上的控制桩,量出其间距及与交点的距离,做好记录,据此恢复中线交点。延长线法多用于地势起伏较大、直线段较短的道路。
路基的形式主要有三种,即填方路基(称为路堤,如图9-25a所示)、挖方路基(称为路堑,如图9-25b所示),和半填半挖路基(如图9-26所示)。

图9-25 平坦地面的填、挖路基
路基边桩测设,就是把设计路基的边坡与原地面相交的点测设出来,在地面上钉设木桩(称为边桩),作为路基测设的依据。边桩的测设方法如下:
(一)图解法
在线路工程设计时,地形横断面及设计标准断面都已绘制在横断面图上,边桩的位置可用图解法求得,即在横断面图上量取中线桩至边桩的距离,然后到实地在横断面方向上用卷尺量出其位置。
(二)解析法
解析法是通过计算求得中线桩至边桩的距离。在平地和山区计算和测设的方法不同。
1.平坦地段,路堤和路堑边桩计算(图9-25):
路堤边桩至中线桩的距离为:
(9-30)
路堑边桩至中线桩的距离为:
(9-31)
式中,B——路基设计宽度
1/m——路基边坡坡度
h——填土高度或挖土深度
S——路堑边沟顶宽
2.山坡地段路基边桩测设
图9-26为倾斜地面路基横断面示意图,则由图可知左、右边桩距中桩的距离为:
(9-32)

图9-26 山坡地段路基边桩的测设
式中,B、m、S均为设计时确定,因此l左、l右随h左、h右而变,而
、
为左、右边桩地面与路基设计高程的高差,由于边桩位置是待定的,故l左、l右均不能事先确定。在实际测设工作中,是沿着横断面方向,采用逐渐趋近法测设边桩。如图9-19所示,设路基宽度为8m,路堑边沟顶宽度为2m,中心桩挖深为4m,边坡坡度为1:1,测设步骤如下:
(1)估计边桩位置
根据地形情况,估计左边桩处地面比中桩地面低1米,即
=(4-1)=3m,则代入式(9-32)得左边桩的近似距离

在实地沿横断面方向往左侧量9m,在地面上定出1点。
(2)实测高差
用水准仪实测1点与中桩之高差为1.5m,则1点距中桩之平距应为

此值比初次估算值小,故正确的边桩位置应在1点的内侧。
(3)重估边桩位置
正确的边桩位置应在距离中桩8.5~9 m之间,重新估计边桩距离为8.8米,在地面上定出2点。
(4)重测高差
测出2点与中桩的实际高差为1.2m,则2点与中桩之平距应为

此值与估计值相符,故2点即为左侧边桩位置。
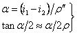
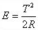
在线路的纵坡变更处,为了满足视距的要求和行车平稳,在竖直面内用圆曲线将两段纵坡连接起来,这种曲线叫竖曲线,如图9-27所示。

图9-27 竖曲线
测设竖曲线时,根据路线纵断面图设计中所设计的竖曲线半径R和相邻坡道的坡度
、
,计算测设数据。竖曲线元素的计算可用平曲线的计算公式:
(9-33)
由于竖曲线的坡度转折角
很小,计算公式可简化为

因此
(9-34)
对于Ε值也可按下面的近似公式计算:
因为
∽
,则
∶
=
∶
=
∶
,因此:
(9-35)
有因为
,得
(9-36)
同理,可导出竖曲线中间各点按直角坐标法测设的纵距(即标高改正值)计算式:
(9-37)
上式中
值在凹形竖曲线中为正值,在凸形竖曲线中为负值。
(一)路面测设
在铺设公路路面时,应先测设路槽。方法如下:
从最近的水准点出发,用水准仪测出各桩的路基设计标高,然后在路基的中线上按施工要求每隔一定的间距设立高程桩,使各桩桩顶高程为路面设计标高。如下图所示。

图9-28 路槽测设
用钢尺或仪器由高程桩(M)沿横断面方向左、右各量路槽宽带的一半,定出路槽边桩A、B,使其桩顶高程为铺设路面的设计标高。在A、B、M桩设立一小木桩,使其桩顶高程为路槽的设计标高,即可开挖路槽。
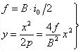
(二)路拱测设
路拱是为了使行车稳定,有利于路面排水,使路中间按一定的曲线形式加高,多采用抛物线或圆曲线,并向两侧倾斜而形成的拱。
1.抛物线形式的路拱测设
先由路面宽度B和横坡i计算出路拱高度f。然后计算中桩左右两侧0.1B、0.2B、0.3B、0.4B、0.5B各点处的加高值。
(9-38)

图9-29 抛物线型路拱测设
测设方法为从中桩沿横断面左右两侧0.1B、0.2B、0.3B、0.4B、0.5B处打木桩,使桩顶高程为计算出的值。
2.圆曲线形式的路拱

图9-30 圆曲线型路拱测设
L为圆曲线长度,一般为2.0m,则R= L/i0,即圆曲线半径路拱横坡的倒数。然后按式计算出路拱高和外矢距。
(9-39)
依据路面宽度和路拱横坡计算出圆曲线半径、路拱高、外矢距,根据上述参数制作路拱模板进行测设。
在路基土石方工程完工之后,铺设之前应当进行线路竣工测量。它的任务是最后确定道路中线位置,作为铺设的依据;同时检查路基施工质量是否符合设计要求。它的内容包括中线测量、高程测量和横断面测量。
(一)中线测量
首先根据护桩将主要控制点恢复到路基上,进行道路中线贯通测量,在有桥梁、隧道等的地方应从桥粱、隧道的线路中线向两端引测贯通。贯通测量后的中线位置,应符合路基宽度和建筑物接近限界的要求;同时中线控制桩和交点桩应固桩。
对于曲线地段,应定出交点,重新测量转向角值;当新测角值与原来转向角之差在限值范围内时,仍采用原来的资料;测角精度与复测时相同。曲线的控制点应进行检查,曲线的切线长、外矢距等检查误差在1/2000以内时,仍用原桩点;曲线横向闭合差不应大于5㎝。
中线上,直线地段每50m、曲线地般每20m测设一桩;道岔中心、变坡点、桥涵中心等处均需钉设加桩。
(二) 高程测量
竣工测量时,应将水准点移设到稳固的建筑物上,或埋设永久性混凝土水准点;其间距不应大于2km;其精度与定测时要求相同;全线高程必须统一,消灭因采用不同高程基准而产生的“断高”。
中桩高程按复测方法进行,路基高程与设计高程之差不应超过5㎝。
(三) 横断面测量
主要检查路基宽度、侧沟的深度,宽度与设计值之差不得大于5㎝,若不符合要求且误差超限者应进行整修。
“线路”是指道路工程以及给水管、排水管、电力线、通讯线及各种工业管道等的总称。在这些线路工程的勘测设计和施工阶段所进行的测量工作称为线路工程测量。
在勘测设计阶段的测量包括线路控制测量和带状地形图测绘与线路定测。控制测量包括平面控制测量和高程控制测量;带状地形图多测绘1:2000的地形图;线路定测包括中线测量、纵断面测绘、横断面测绘。土石方计算也是一项重要的内容。
曲线测设包括曲线要素计算、曲线主点测设和细部点测设。目前常用的测设方法为偏角法和坐标法。一般采用全站仪和GPS RTK测设。
道路施工测量的主要工作包括:恢复道路中线,测设施工控制桩、路基边桩,竖曲线测设,路面和路拱测设,竣工测量。
1.线路工程的测量工作主要内容有哪些?
2.线路中线测量的主要工作有哪些?
3.线路的加桩包括哪些?
4.圆曲线的主点和测设元素是什么?
5.《公路勘测规范》规定,平曲线上中桩宜采用的敷设方法有哪些?
6.路线纵断面测量的任务是什么?
7.横断面的测量常用的方法有哪些?
8.道路施工测量的主要工作包括哪些?
桥梁、隧道工程施工测量
学习目标
1.掌握桥梁、隧道控制测量的常用方法;
2.了解桥梁、隧道施工测量的内容;
.明确桥梁、隧道施工测量的原理及使用的仪器既与普通测量相同,又区别于普通测量。
桥梁按其跨径长度一般分为特大型桥、大型桥、中型桥、小型桥和涵洞五类,见表10-1。桥梁施工测量的方法及精度要求随桥梁轴线长度、桥梁结构而定,主要内容包括平面控制测量、高程控制测量、墩台定位、轴线测设等。
表10-1 桥梁涵洞按垮径分类
| 桥 涵 分 类 | 多孔跨径总长L(m) | 单孔垮径长L(m) |
| 特大桥 | L≥500 | L≥100 |
| 大 桥 | 100≤L<500 | 40≤L |
| 中 桥 | 30 | 20≤L<40 |
| 小 桥 | 8≤L≤30 | 5≤L<20 |
| 涵 洞 | L<8 | L<5 |
桥位平面控制测量的目的是测定桥轴线长度并据此进行墩、台的放样,也可用于施工过程中的变形监测。平面控制测量可根据现场及设备情况采用导线测量、三角测量和GPS测量。三角网的几种布设形式如图10-1所示,图中点画线为桥轴线,控制点尽可能使桥的轴线作为三角形的一个边,如不能,也应将桥轴线的两个端点纳入网内,以间接计算桥轴线长度,从而提高桥轴线的测量精度。
桥位三角网的布设,力求图形简单,除满足三角测量本身的要求外,还要求控制点选在不被水淹、不受施工干扰的地方,便于交会桥、墩,其交会角不宜太大或太小。基线应与桥梁中线近似垂直,其长度一般不小于桥轴线长度的0.7倍,困难地段也不应小于0.5倍。在控制点上要埋设标石及刻有“+”字的金属中心标志,如兼作高程控制点,则中心标志的顶部宜做成半球形。

图10-1 桥位三角网形式
控制网可采用测角网、测边网或边角网。采用边角网时宜测定两条基线;采用测边网时宜测量所有的边长,不测角;边角网则要测量边长和角度。一般来说,在边、角精度互相匹配的条件下,边角网的精度较高。中型桥位三角网主要技术要求如表10-2所示。
表10-2 桥位三角网精度表
| 等 级 |
桥轴线的 控制桩间 距离(m) |
测角中 误差(″) |
桥轴线相 对中误差 |
基线相对 中误差 |
丈量测回数 | 三角形 最大闭 合差(″) |
方向观测法测回数 | |||
| 桥轴线 | 基线 | J1 | J2 | J6 | ||||||
| 二 | >5000 | ±1.0 | 1/130000 | 1/260000 | 3 | 4 | ±3.5 | 12 | - | - |
| 三 | 2000~5000 | ±1.8 | 1/70000 | 1/140000 | 2 | 3 | ±7.0 | 9 | 12 | - |
| 四 | 1000~2000 | ±2.5 | 1/40000 | 1/80000 | l(3) | 2(4) | ±9.0 | 6 | 9 | 12 |
| 五 | 500~1000 | ±5.0 | 1/20000 | 1/40000 | (2) | (3) | ±15.0 | 4 | 6 | 9 |
| 六 | 200~500 | ±10.0 | 1/10000 | 1/20000 | (1) | (2) | ±30.0 | 2 | 4 | 6 |
| 七 | <200 | ±20.0 | 1/5000 | 1/10000 | (1) | (1) | ±60.0 | - | 2 | 4 |
桥位的高程控制测量,一般在路线基平时就已经建立,施工阶段只需要复测和加密。2000m以上的特大型桥梁应该采用三等水准测量,2000m以下的桥梁采用四等水准测量。
当跨河视线较长或前后视距相差悬殊时,水准尺上读数精度将会降低,水准仪的i角误差和地球曲率、大气折光的影响将会增加,这时可采用跨河水准测量的方法或光电高程测量方法。
(一)跨河水准测量的方法
如用两台精度相同的水准仪同时作对向观测,两岸测站点和立尺点布置如图10-2所示的对称图形,图中A、B为立尺点,C、D为测站点,要求AD与BC距离基本相等,AC与BD距离基本相等,且AC和BD不小于10m。

图10-2 跨河水准测量
用两台水准仪作同时对向观测时,C站先测本岸A点尺上读数得a1,后测对岸B点尺上读数2~4次,取其平均数得bl,其高差为h1=a1-b1,此时在D站上,同样先测本岸B点尺上读数得b2,后测对岸A点尺上读数2~4次,取其平均数得a2,其高差为h2=a2-b2。取h1和h2的平均数,完成一个测回,一般进行4个测回。
(二)光电测距三角高程测量
如有电子全站仪,则可以用光电测距三角高程的测量方法。即在河的两岸布置1、2两个水准点,在1点安置全站仪,在2点安置棱镜,分别量取仪器和棱镜高。全站仪照准棱镜中心,测得1、2两点间的高差。由于视距较长且穿过水面,高差的测定会受到地球曲率和大气垂直折光的影响,但是大气状况在短时间内不会有很大的变化,故可以采用对向观测的方法,即在1点观测完毕将全站仪与棱镜位置对调,用同样的方法再进行一次测量,取对向观测高差的平均值作为1、2两点间的高差。
桥梁墩、台定位测量是桥梁施工测量中的关键性工作。水中桥墩基础施工定位,采用方向交会法,这是由于水中桥墩基础一般采用浮运法施工,目标处于浮动中的不稳定状态,在其上无法使仪器稳定。在已稳固的墩台基础上定位时,可以采用直接丈量法、方向交会法和极坐标法。
(一)直接丈量法
在无水的河滩上或水面较窄钢尺可以跨越时,可用直接丈量法。根据图纸计算出各段距离,测设前要检定钢尺,按精密量距方法进行。一般从桥的轴线一端开始,测设出墩、台中心,并附合到轴线的另一端以便校核。在不得已时可以从两端向中间测设。若在限差之内,则按各段测设的距离在测设点位上打好木桩,同时在桩上钉一小钉进行标记。直接丈量定位必须丈量两次以上作为校核,当误差不超过2cm时,认为满足要求。
(二)方向交会法
如果桥墩所在位置的河水较深,无法直接丈量时,可采用方向交会法测设。如图10-3所示,AB为桥轴线,C、D为桥梁平面控制网中的控制点,Pi点为第i个桥墩设计的中心位置(待测设的点)。在C、A、D三点上各安置一台DJ2或DJ1经纬仪,A点上的经纬仪照准B点,定出桥轴线方向;C、D两点上的经纬仪均先照准A点,并分别根据Pi点的设计坐标和控制点坐标计算出控制点上的应测设角度,定出交会方向线。由于测量误差的存在,从C、A、D三点指来的三条方向线一般不会正好交会于一点,而是形成误差三角形P1P2P3。如果误差三角形在桥轴线上的边长P1P3对于墩底定位不超过25mm,对于墩顶定位不超过15mm,则从P2向AB作垂线P2Pi,Pi即为桥墩中心。在桥墩施工中,随着桥墩的逐渐筑高,桥墩中心的放样工作需要重复进行,而且要迅速和准确。为此,在第一次求得正确的桥墩中心位置Pi后,将CPi和DPi方向线延长到对岸,设立固定的瞄准标志C′、D′,如图10-4所示。以后每次作方向交会法放样时,从C、D点直接瞄准C′、D′点,即可恢复对Pi点的交会方向。

图10-3 方向交会图10-4 固定瞄准标志
实践表明,交会精度与交会角CPiD有关,当交会角在60°~120°时,测量精度较高。故在选择基线和布网时应考虑使交会角在60°~120°,在实在达不到的情况下也应不小于30°且不大于150°,超出这个范围时可以用加设交会用的控制点或设置辅助点的办法解决。
(三)极坐标法
如果有全站仪或测距仪,待放样的点位上可以安置棱镜,且测距仪或全站仪与棱镜或反光镜可以通视,则可用极坐标法放样桥墩中心位置。做法是先算出欲放样墩台的中心坐标,求出放样角度和距离,即可将仪器安置于任意控制点上进行放样。这种方法比较简便、迅速。测设时应该根据当时的气象参数对距离进行气象改正。为保证测设点位准确,常用换站法校核。
为了进行墩、台施工的细部放样,需要放样其纵横轴线。纵轴线是指通过墩、台中心平行于线路方向的轴线;横轴线是指过墩、台中心垂直于线路方向的轴线。
直线桥墩、台的纵轴线与线路的中线方向重合,在墩、台中心架设仪器,自线路中线放样90°角,即为横轴线方向。
曲线桥的墩、台轴线位于桥梁偏角的分角线上,在墩台中心架设仪器,照准相邻的墩台中心,测设α/2角,即为纵轴线方向。自纵轴线方向测设90°角,即为横轴线方向。
墩、台中心的定位桩在基础施工中要被挖掉,因而需要在施工范围以外钉设护桩,以方便恢复墩、台中心位置。所谓护桩就是在墩、台的纵横轴线两侧,每侧至少要钉两个控制桩,用于恢复轴线的方向,为防止破坏也可以多设几个。
桥梁梁部结构比较复杂,要求对墩、台方向、距离和高程用较高的精度测定,作为架梁的依据。墩、台施工时,对其中心点位、中线方向和垂直方向以及墩顶高程都做了精密测定,但当时是以各个墩、台为单元进行的。架梁时需要将相邻墩、台联系起来,考虑其相关精度,要求中心点间的方向、距离和高差符合设计要求。
相邻桥墩中心点之间距离用光电测距仪观测,适当调整使中心里程与设计里程完全一致。在中心标板上刻划里程线,与已刻划的方向线正交形成十字交线,表示墩、台中心。
墩、台顶面高程用精密水准测定,构成水准线路,附合到两岸基本水准点上。
大跨度钢桁架或连续梁采用悬臂或半悬臂安装架设。安装开始前,应在横梁顶部和底部的中点作出标志。架梁时,用来测量钢梁中心线与桥梁中心线的偏差值。
在梁的安装过程中,应不断地测量以保证钢梁始终在正确的平面位置上,高程(立面)位置应符合设计的大节点挠度和整跨拱度的要求。如果梁的拼装是两端悬臂在跨中合拢,则合拢前的测量重点放在两端悬臂的相对关系上,如中心线方向偏差、最近节点高程差和距离差符合设计和施工的要求。
全桥架通后,做一次方向、距离和高程的全面测量。其成果可作为钢梁整体纵、横移动和起落调整的施工依据,称为全桥贯通测量。
隧道是线路工程穿越山体等障碍物的通道,或是为地下工程施工所做的地面与地下联系的通道。为了加快工程进度,通常采取多井开挖以增加工作面的办法,隧道施工是从地面开挖竖井或斜井、平峒进入地下的。
在对向开挖的隧道贯通面上,中线不能吻合的偏差称为贯通误差。贯通误差包括纵向误差、横向误差和高程误差。
隧道地面的控制测量应在隧道开挖以前完成,它包括平面控制测量和高程控制测量,它的任务是测定地面各洞口控制点的平面位置和高程,作为向地下洞内引测坐标、方向和高程的依据,并使地面和地下在同一控制系统内,从而保证隧道的准确贯通。
(一)平面控制测量
平面控制网一般布设为独立网形式,根据隧道长度、地形及现场和精度要求,采用不同的布设方法。
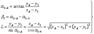
1.中线法
该方法是用经纬仪根据导线点的坐标和设计的中线点的坐标,利用相应的方法测设隧道中线的位置。如图10-5所示,D2、D3点为导线点,A为隧道中线点,若已知D2、D3的实测坐标及A的设计坐标和隧道中线的设计方位角αAB,根据上述的数据,即可推算出放样中线点的有关数据:β3、L与βA。

图10-5 中线法
(10-1)
在求得有关数据后,即可将经纬仪安置于导线点D3上,后视D2点,拨角β3,并在视线方向上丈量距离L,即得中线点A,然后在A点埋设标志。标定开挖方向时,可将仪器安置于A点,后视导线点D3,并拨水平角βA,即得中线方向。随着开挖面向前推进,需将中线点向前延伸,埋设新的中线点,如图10-5中的B点。此后可将仪器安置于B点,后视A点,倒转望远镜继续向前标定隧道中心线的位置。A、B间的距离在直线段上不宜超过100m,在曲线段上不宜超过50m,中线延伸在直线上宜采用正倒镜延长;在曲线上则宜采用偏角法测设中线。
2.精密导线法
导线法比较灵活、方便,对地形的适用条件比较大。目前在全站仪已经普及的情况下,导线法不失为隧道洞外控制形式的良好方案之一。
精密导线应组成多边形闭合环。它可以是独立闭合导线,也可以与国家三角点相连。导线水平角的观测,应以总测回数的奇数测回和偶数测回,分别观测导线前进方向的左角和右角,以检查错误;将它们换算为左角或右角后再取平均值,以提高测角精度。为了增加检核条件和提高测角精度评定的可行性和可靠性,导线环的个数不宜太少,最少不应少于4个;每个环的边数不宜太多。一般以4~6条边为宜。
在进行导线边长丈量时,应尽量接近于测距的最佳测程,边长不应短于300m;导线尽量以直伸形式布设,减少转折角的个数,以减少量边误差和测角误差对隧道横向贯通误差的影响。
3.三角锁法
对于隧道较长、地形复杂的山岭地区或城市的地下隧道,地面平面控制网一般布设成线形三角锁形式。测定三角锁的全部角度和若干条边长,或测定全部边长成为边角锁。三角锁的点位精度比导线高,一般长隧道测角精度为±1.2",起始边精度要达到1/300 000。因此,要付出较大的人力和物力。如果有较高精度的测距仪,应多测几条起始边,用三角锁计算,比较简便。用三角锁作为控制网,最好将三角锁设成直伸形,并且用单三角构成,使图形尽量简单。这时边长误差对贯通的横向误差影响大为削弱。
4.GPS法
采用GPS定位技术建立隧道地面平面控制网已普遍应用,它只需在洞口布点。对于直线隧道,洞口点应选在隧道中线上。另外,再在洞口附近布设至少2个定向点,并要求洞口点与定向点通视,以便于全站仪观测,而定向点间不要求通视。对于曲线隧道,除洞口点外,还应把曲线上的主要控制点(如曲线的起、终点)包括在网中。GPS选点和埋石与常规方法相同,但应注意使所选的点位的周围环境适宜GPS接收机测量。
(二)高程控制测量
高程控制测量是按规定的精度施测隧道洞口(包括隧道的进出口、竖井口、斜井口和平峒口)附近水准点的高程,作为高程引测进洞的依据。高程控制通常采用三、四等水准测量的方法施测。当山势陡峻采用水准测量困难时,亦可采用光电测距仪三角高程的方法测定各洞口高程。
水准测量应选择连接洞口最平坦和最短的线路,以达到设站少、观测快、精度高的要求。每一洞口埋设的水准点应不少于两个,且以安置一次水准仪即可联测为宜。两端洞口之间的距离大于1km时,应在中间增设临时水准点。
在隧道施工中,常用竖井在隧道中间增加掘进工作面,从多向同时掘进,可以缩短贯通段的长度,提高施工进度。为保证隧道的正确贯通,必须将地面控制网中的坐标和高程,通过竖井传递到地下,这些工作称为竖井联系测量。
(一)竖井定向
竖井定向就是通过竖井将地面控制点的坐标和直线的方位角传递到地下,井口附近地面上导线点的坐标和导线边的方位角,将作为地下导线测量的起始数据。
竖井定向的方法一般采用连接三角形法。
在竖井中悬挂两根细钢丝,为了减小钢丝的振幅,需将挂在钢丝下边的重锤浸在液体中以获得阻尼。阻尼用的液体粘度要恰当,使得重锤不能滞留在某个位置,也不因为粘度小而振幅衰减缓慢。当钢丝静止时,钢丝上的各点平面坐标相同,据此推算地下控制点的坐标。
如图10-6a所示,A、B为地面控制点,其坐标是已知的,C、D为地下控制点,为求C、D两点的坐标,在竖井上方Ol、O2处悬挂两条细钢丝,由于悬挂钢丝点Ol、O2不能安置仪器,因此选定井上、井下的连接点B和C,从而在井上、井下组成了以O1O2为公用边的三角形△O1O2B、△O1O2C。一般把这样的三角形称为连接三角形。图10-20b所示的便是井上、井下连接三角形的平面投影。
由图可看出,当已知A、B点的坐标时,即可推算出AB边的方位角,若再测出地面上△OlO2B的∠O1BO2=α和三边长a、b、c及连接角∠ABO1=δ,便可用三角形的边角关系和第七章的导线测量计算的方法,计算出O1O2两点的平面坐标及其连线的方位角。同样在井下,根据已求得的O1O2坐标及其连线方位角和测得井下△O1O2C的∠OlCO2=α′,及三边长a、b′、c′,并在C点测出∠O2CD=δ,即可求得井下控制点C及D的平面坐标及CD边的方位角。

图10-6 竖井定向联系测量及连接三角形法
为保证测量精度,在选择井上、井下B和C点时,应满足下列要求:
(1)CD和AB的长度应尽量大于20m;
(2)点B与C应尽可能地在O1O2延长线上,即角度β(∠BO2O1)、α及β′(∠CO1O2)、α′不应大于2°,以构成最有利三角形,称为延伸三角形。
(3)点C和B应适当地靠近最近的垂球线,使b/a 及b′/a一般应不超过1.5。
(二)高程联系测量(导入高程)
高程联系测量的任务是把地面的高程系统经竖井传递到井下高程的起始点。导入高程的方法有:钢尺导入法、钢丝导入法、测长器导入法及光电测距仪导入法,在此仅介绍钢尺导入法。
如图10-7所示,在竖井地面洞口搭支撑架,将长钢尺悬挂在支撑架上并自由伸入洞内。钢尺下面悬挂一定质量的垂球,待钢尺稳定时,开始测量。假设在离洞口不远处的水准点A上立尺,在水准点和洞口之间架设水准仪,分别在水准尺和钢尺上读取中丝读数a、b,同时,在地下洞口和地下水准点B之间架设水准仪,在钢尺和水准尺上读数c、d,这时,地下水准点B与地面水准点A之间的高差为:
(10-2)

图10-7 竖井高程联系测量
(b-c)为上、下视线间钢尺的名义长度,实际计算中一般须加上尺长改正、温度改正、拉力改正和钢尺自重改正等四项总和∑△t,因此:
(10-3)
这样,根据地面水准点的高程,可以计算地下水准点的高程:HB=HA+hAB。
导入高程均需独立进行两次(第二次需移动钢尺,改变仪器高度),加入各项改正数后,前后两次导入高程之差一般不应超过5mm。
(一)洞内平面控制测量
隧道内平面控制测量通常有两种形式:当直线隧道长度小于1000m,曲线隧道长度小于500m时,可不作洞内平面控制测量,而是直接以洞口控制桩为依据,向洞内直接引测隧道中线,作为平面控制。但当隧道长度较长时,必须建立洞内精密地下导线作为洞内平面控制。
地下导线的起始点通常设在隧道的洞口、平坑口、斜井口,而这些点的坐标是通过联系测量或直接由地面控制测量确定的。地下导线等级的确定取决于隧道的长度和形状。
(二)洞内高程控制测量
洞内高程测量应采用水准测量或光电测距三角高程测量的方法。洞内高程应由洞外高程控制点向洞内测量传算,结合洞内施工特点,每隔200m至500m设立两个高程点以便检核;为便于施工使用,每隔100m应在拱部边墙上设立一个水准点。
采用水准测量时,应往返观测,视线长度不宜大于50m;采用光电测距三角高程测量时,应进行对向观测,注意洞内的除尘、通风排烟和水汽的影响。限差要求与洞外高程测量的要求相同。洞内高程点作为施工高程的依据,必须定期复测。
当隧道贯通之后,求出相向两条水准的高程贯通误差,并在未衬砌地段进行调整。所有开挖、衬砌工程应以调整后的高程指导施工。
(三)洞内中线和腰线的测设
1.中线测设
根据隧道洞口中线控制桩和中线方向桩,在洞口开挖面上测设开挖中线,并逐步往洞内引测中线上的里程桩。一般,隧道每掘进20m要埋设一个中线里程桩。中线桩可以埋设在隧道的底部或顶部。
2.腰线测设
测在隧道施工中,为控制施工的标高和隧道横断面的放样,在隧道的岩壁上,每隔一定距离(5~10m)测设出比洞底设计地坪高1m的标高线,称为腰线。腰线的高程由引入洞内的施工水准点进行测设。由于隧道的纵断面有一定的设计坡度,因此腰线的高程按设计坡度随中线的里程而变化,它与隧道的设计地坪高程线是平行的。
(四)掘进方向指示
隧道的开挖掘进过程中,洞内工作面狭小,光线暗淡。因此,在隧道掘进的定向工作中,经常使用激光准直经纬仪或激光指向仪,以指示中线和腰线方向。它具有直观、对其它工序影响小、便于实现自动控制等优点。例如,采用机械化掘进设备,用固定在一定位置上的激光指向仪,配以装在掘进机上的光电接收靶,当掘进机向前推进时,方向如果偏离了指向仪发出的激光束,则光电接收靶会自动指出偏移方向及偏移值,为掘进机提供自动控制的信息。
采用两个或多个相向或同向的掘进工作面分段掘进隧道,使其按设计要求在预定地点彼此接合,叫做隧道贯通。为实施贯通工程而专门进行的测量工作,叫做贯通测量。
隧道贯通工程的质量对公路建设有着重大影响,因此必须按相关规范规定执行,认真进行设计和精心组织工程施工。
地面与地下隧道的贯通导线全长在10km左右的贯通工程,一般认为是大型贯通工程。根据实践经验,对于此类贯通工程的测量工作,最好采用如下施测方案:
(1)采用光电测距导线建立地面独立控制网。具体做法是在原地区控制网中选择一条边,以此边为起始边分别向两个对向贯通的隧道洞口测设光电测距导线,建立洞口控制点。这种地面控制方案可以最大限度地减小地面控制测量误差对贯通精度的影响。
(2)采用陀螺经纬仪进行地下导线边定向。为了保证定向精度,使陀螺定向边能作为地下导线起始边使用,一般应采用性能稳定的一次测量中误差不超过±15"的仪器。
(3)地下贯通导线应合理地加测陀螺定向边,并进行平差。
当不具备上述条件时,应将大型贯通工程视为困难条件下的贯通工程。拟定测量方案时应研究、分析该工程的特点和难点,有针对性地采取提高测量精度的各种措施。在条件允许时,应从同一起始点和起始边开始施测经纬仪导线,建立地面控制,以摆脱地面控制网误差对贯通的影响。
隧道工程竣工后,为了检查工程是否符合设计要求,并为设备安装和运营管理提供信息,需要进行竣工测量,绘制竣工图。由于隧道工程是在地下,因此隧道竣工测量具有独特之处。
验收时检测隧道中心线。在隧道直线段每隔50m、曲线段每隔20m检测一点。地下永久性水准点至少设置2个,长隧道中每千米设置1个。
隧道竣工后,还要进行纵断面测量和横断面测量。纵断面应沿中线方向测定底板和拱顶高程,每隔10~20m测一点,并在图上套绘设计坡度线进行比较。直线隧道每隔10m、曲线隧道每隔5m测一个横断面。横断面观测可采用直角坐标法或极坐标法。
本章简要讲述了桥梁施工测量和隧道施工测量,以供施工参考。
桥梁施工测量包括平面控制测量、高程控制测量、桥墩台定位测量和桥梁架设施工测量。
隧道施工测量包括地面控制测量(平面控制测量和高程控制测量)、地面地下联系测量、地下测量(平面控制测量、高程控制测量、中线和腰线测设、方向指示)、贯通测量和竣工测量。
当然,实际进行的具体的桥梁和隧道施工会因工程的大小和施工难度而异于本章节所讲的。
1. 简述桥梁墩台定位的几种常用方法。
2. 什么是贯通误差?分为哪几类?什么误差是主要的?
3. 用导线建立隧道的平面控制网,为何要使导线成为延伸形?
4. 比较隧道地面控制测量各方法的优缺点。
相关资料推荐:
市政道路及配套工程测量施工方案
https://ziliao.co188.com/p63369844.html
知识点:道路施工测量
0人已收藏
0人已打赏
免费3人已点赞
分享
道路工程
返回版块15.09 万条内容 · 689 人订阅
阅读下一篇
水泥粉煤灰碎石桩(CFG)施工作业指导书水泥粉煤灰碎石桩(CFG)施工作业指导书 1、适用范围 适用于CFG 桩施工。 2、作业准备 ⑴核查地质资料,结合设计参数,选择合适的施工机械和施工方法。 ⑵进行满足桩体设计强度的配合比试验,确定各种材料的施工用配比。
回帖成功
经验值 +10
全部回复(0 )
只看楼主 我来说两句抢沙发