受拉构件可分为轴心受拉和偏心受拉两类:
当拉力作用在构件截面重心时,即为轴心受拉构件;
当拉力作用点偏离构件截面重心,或构件上既作用有拉力又作用有弯矩时,则为偏心受拉构件。
轴心受拉构件正截面承载力计算
轴心受拉破坏时混凝土裂缝贯通,纵向拉钢筋达到其受拉屈服强度。轴心受拉构件正截面受拉承载力计算公式:

轴心受拉构件中纵向受拉钢筋的接头必须采用焊接接头!
偏心受拉构件正截面承载力计算
根据偏心受拉构件破坏特征的不同,可分为小偏心受拉和大偏心受拉两种情况。

1)大偏心受拉破坏
当轴力处于纵向钢筋之外时发生此种破坏。破坏时距纵向拉力近的一侧混凝土开裂,混凝土开裂后不会形成贯通整个截面的裂缝,最后,与大偏心受压情况类似,钢筋屈服,而离轴力较远一侧的混凝土被压碎 。
2)小偏心受拉破坏
当轴力处于纵向钢筋之间时发生此种破坏。全截面均受拉应力,但As一侧拉应力较大,A's一侧拉应力较小。随着拉力增加,As一侧首先开裂,但裂缝很快贯通整个截面,破坏时混凝土裂缝贯通,全部纵向钢筋受拉屈服。
应当指出,在开裂前,小偏心受拉截面上也可能存在压区,只是在开裂之后,拉区混凝土退出工作,拉力集中到钢筋上,才使原来的压区转为受拉并使截面裂通。
矩形截面大偏心受拉构件正截面承载力计算



适用条件同大偏心受压构件
不对称配筋计算方法
①截面设计;类似于大偏心受压构件。
②截面校核,一般已知构件尺寸、配筋、材料强度。若再已知N可求出x和e0或再已知e0则可求出x和N。
对称配筋计算方法
①截面设计:对称配筋时必有

因此, 按不对称配筋时的情形处理。
②截面校核:类似于不对称配筋。
矩形截面小偏心受拉构件正截面承载力计算
1)不对称配筋

截面设计:已知构件尺寸、材料强度等级和内力,求配筋。在此情况下基本公式中有二个未知数,可直接求解。
截面校核:一般已知构件尺寸、配筋、材料强度,偏心距e0,由式(1)和式(2)都可直接求出N,并取其较大者。
2)对称配筋
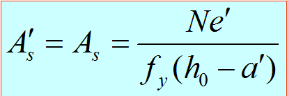
截面设计:已知构件尺寸、材料强度等级和内力,求配筋。在此情况下,离轴力较远一侧的钢筋必然不屈服,设计时取

截面校核:按式(2)进行。
偏心受拉构件的斜截面承载力计算
轴拉力的存在使斜裂缝贯通全截面,从而不存在剪压区,降低了斜截面承载力。因此,受拉构件的斜截面承载力公式是在受弯构件相应公式的基础上减去轴拉力所降低的抗剪强度部分,即0.2N。
《规范》对矩形截面偏心受拉构件受剪承载力:

内容源于网络,如有侵权,请联系删除
相关资料推荐:
知识点:受拉构件正截面承载力计算
0人已收藏
0人已打赏
免费5人已点赞
分享
混凝土结构
返回版块140.17 万条内容 · 2216 人订阅
阅读下一篇
轴心受压构件正截面承载力计算受压构件有两种:轴向压力通过构件截面重心的轴心受压构件;轴向压力不通过构件截面重心,而与截面重心有一偏心距e0的偏心受压构件。截面上同时作用有通过截面重心的轴向压力N和弯矩M的压弯构件,也是偏心受压构件。 严格的说,实际工程中不存在真正的轴心受压构件。 钢筋混凝土轴心受压柱按箍筋配置方式和作用分为两类:①配有纵向钢筋和普通箍筋的柱;②配有纵向钢筋和螺旋形箍筋的柱。 纵筋的作用 (1)协助混凝土受压,减小截面面积;
回帖成功
经验值 +10
全部回复(1 )
只看楼主 我来说两句 抢板凳看一下。。学习下这方面的内容
回复 举报