


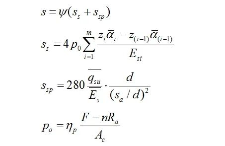
桩身范围内按厚度加权的平均桩侧极限摩阻力、平均压缩模量;

承台底至第i层、第i-1层土层底范围内的角点平均附加应力系数;根据承台等效面积的计算分块矩形长宽比a/b及深宽比zi/b=2zi/Bc,由桩基规范附录D确定;
B、L为建筑物基础外缘平面的宽度和长度;
F——荷载效应准永久值组合下,作用于承台底的总附加荷载(kN);
ηp——基桩刺入变形影响系数;按桩端持力层土质确定,砂土为1.0,粉土为1.15,黏性土为1.30。
ψ——沉降计算经验系数,无当地经验时,可取1.0。
软土地基减沉复合疏桩基础计算沉降与实测沉降比较↓

内容源于网络,如有侵权,请联系删除
相关资料推荐:
建筑结构计算表格-减沉复合疏桩基础计算
知识点:减沉复合疏桩基础沉降计算
0人已收藏
0人已打赏
免费7人已点赞
分享
地基基础
返回版块12.11 万条内容 · 717 人订阅
阅读下一篇
桩基沉降计算的明德林(Mindlin)方法明德林(Mindlin)方法 ①对于单桩、单排桩、桩中心距大于6倍桩径的疏桩基础的沉降计算应采用明德林方法。桩端平面以下地基中由基桩引起的附加应力,按考虑桩径影响的明德林解计算确定。将沉降计算点水平面影响范围内各基桩对应力计算点产生的附加应力叠加,采用单向压缩分层总和法计算土层的沉降,并计入桩身压缩
回帖成功
经验值 +10
全部回复(1 )
只看楼主 我来说两句 抢板凳很好的贴,学习了,楼主确实花了功夫在讲。
回复 举报