



内容源于网络,如有侵权,请联系删除
相关资料推荐:
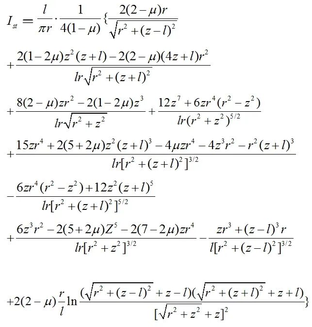
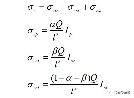
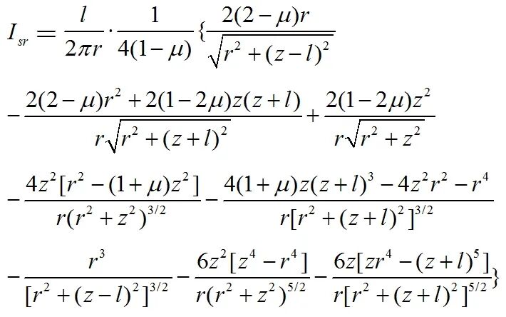
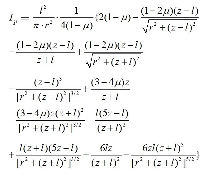
知识点:明德林法
0人已收藏
0人已打赏
免费8人已点赞
分享
地基基础
返回版块12.11 万条内容 · 717 人订阅
阅读下一篇
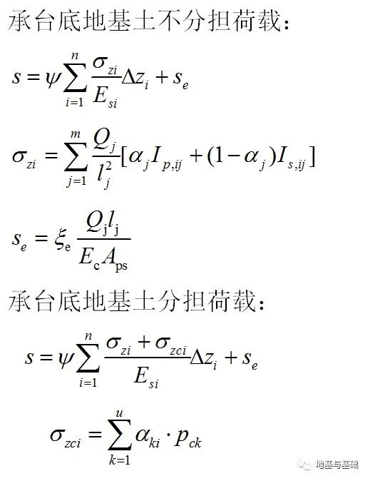
桩基沉降计算的等效作用分层总和法对于桩中心距不大于6倍桩径的桩基,其最终沉降量计算可采用等效作用分层总和法。等效作用面位于桩端平面,等效作用面积为桩承台投影面积,等效作用附加压力近似取承台底平均附加压力。等效作用面以下的应力分布采用各向同性均质直线变形体理论。(1)计算模式如图所示,桩基任一点最终沉降量可用角点法按下式计算:式中:s——桩基最终沉降量,mm;sl——采用布辛奈斯克解,按实体深基础分层总和法计算出的桩基沉降量,
回帖成功
经验值 +10
全部回复(1 )
只看楼主 我来说两句 抢板凳希望不要抄袭,举例验算更有工程意义
回复 举报